🇳🇴 🇬🇧 🇩🇪 🇨🇿 🇫🇮

Meteor over Koppang 2025-12-13 18:58:16 UTC

KML-fil  |  Interaktivt kart

Kartet viser peilingene for meteoren. De lysere linjene viser retningene fra observasjonsstedene for meteorens tilsynekomst, og de mørkere linjene viser hvor den sist kunne sees. Den blå pila viser meteorens synlige ferd.

static map
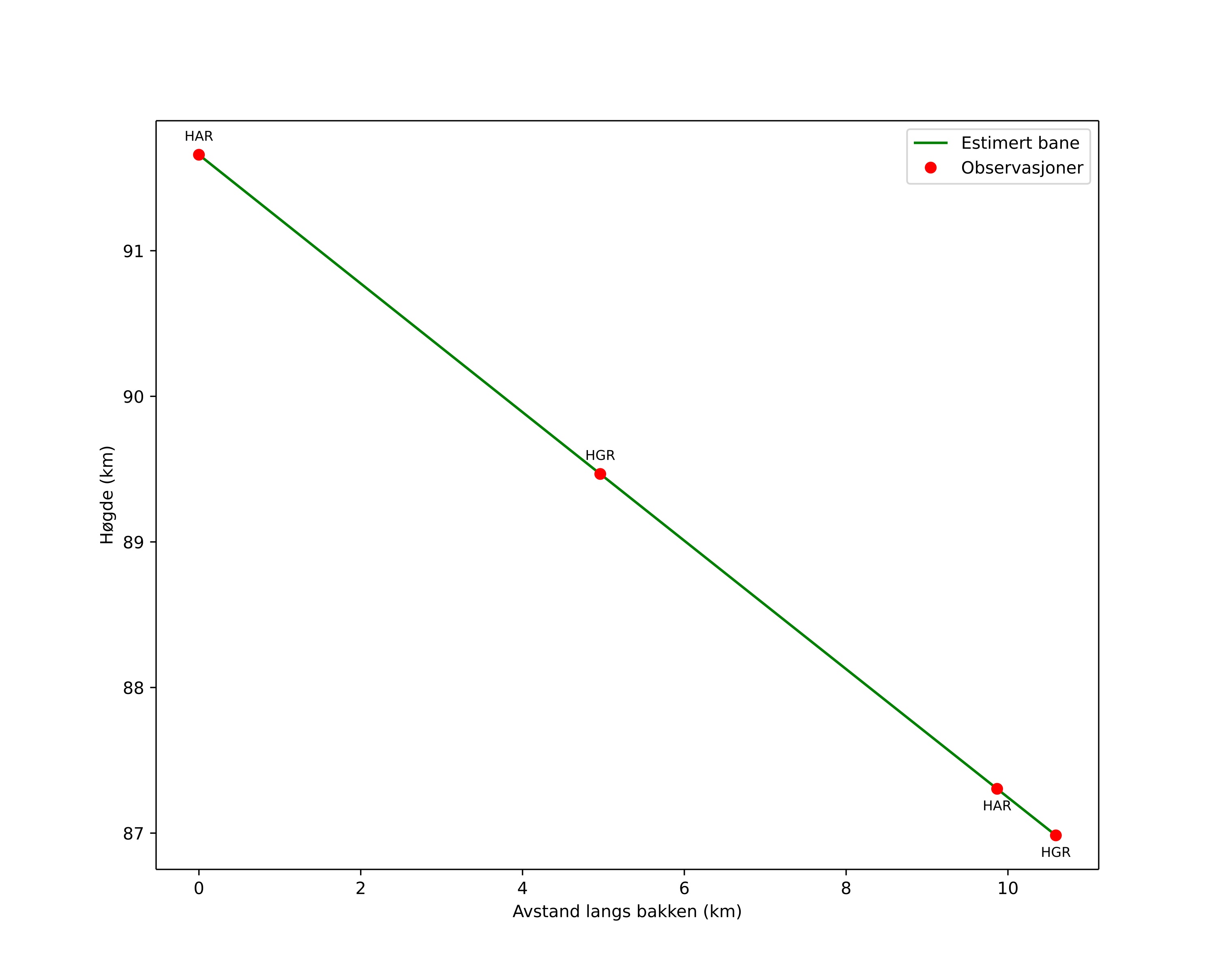
height profile
Meteorens atmosfæriske bane:
Starthøgde: 91,7 km
Slutthøgde: 87,0 km
Startposisjon: 61,394N 11,075E
Sluttposisjon: 61,368N 10,884E
Retning: 253,9°
Fallvinkel: 23,9°
Inngangshastighet: 31,4 km/s
Radiantens rektascensjon: 07:24 (111,2°)
Radiantens deklinasjon: 26,6°
Meteorsverm: Geminidene
Meteoroidens baneelement:
Perihelavstand: 0,174 AU
Eksentrisitet: 0,837
Inklinasjon: 7,8°
Knutelengde: 261,6°
Perihelargument: 323,8°
Midlere anomali: 323,0°
Epoke: 2025 DEC 13 18:58:16
orbit plot

Ikke-interaktivt plott | Interaktivt plott

position vs time
speed and acceleration

Hagar (HGR) cam2


gnomonic
Videoer
• Gnomonisk
• Gnomonisk med koordinater
• Original
• Original med koordinater
Bilder
• Gnomonisk
• Gnomonisk med koordinater
• Original
• Original med koordinater
Tekstfiler
• Deteksjon
• Observasjon
• Koordinater
• Logg
Lysstyrke

Harestua (HAR) cam1


gnomonic
Videoer
• Gnomonisk
• Gnomonisk med koordinater
• Original
• Original med koordinater
Bilder
• Gnomonisk
• Gnomonisk med koordinater
• Original
• Original med koordinater
Tekstfiler
• Deteksjon
• Observasjon
• Koordinater
• Logg
Lysstyrke