🇳🇴 🇬🇧 🇩🇪 🇨🇿 🇫🇮

Meteor Koppangin yllä 2025-12-13 18:58:16 UTC

KML-tiedosto  |  Interaktiivinen kartta

Kartta näyttää meteorin suuntahavainnot. Vaaleammat viivat näyttävät suunnat havaintoasemilta meteorin ilmestyessä, ja tummemmat viivat näyttävät, missä se viimeksi nähtiin. Sininen nuoli näyttää meteorin näkyvän lennon.

static map
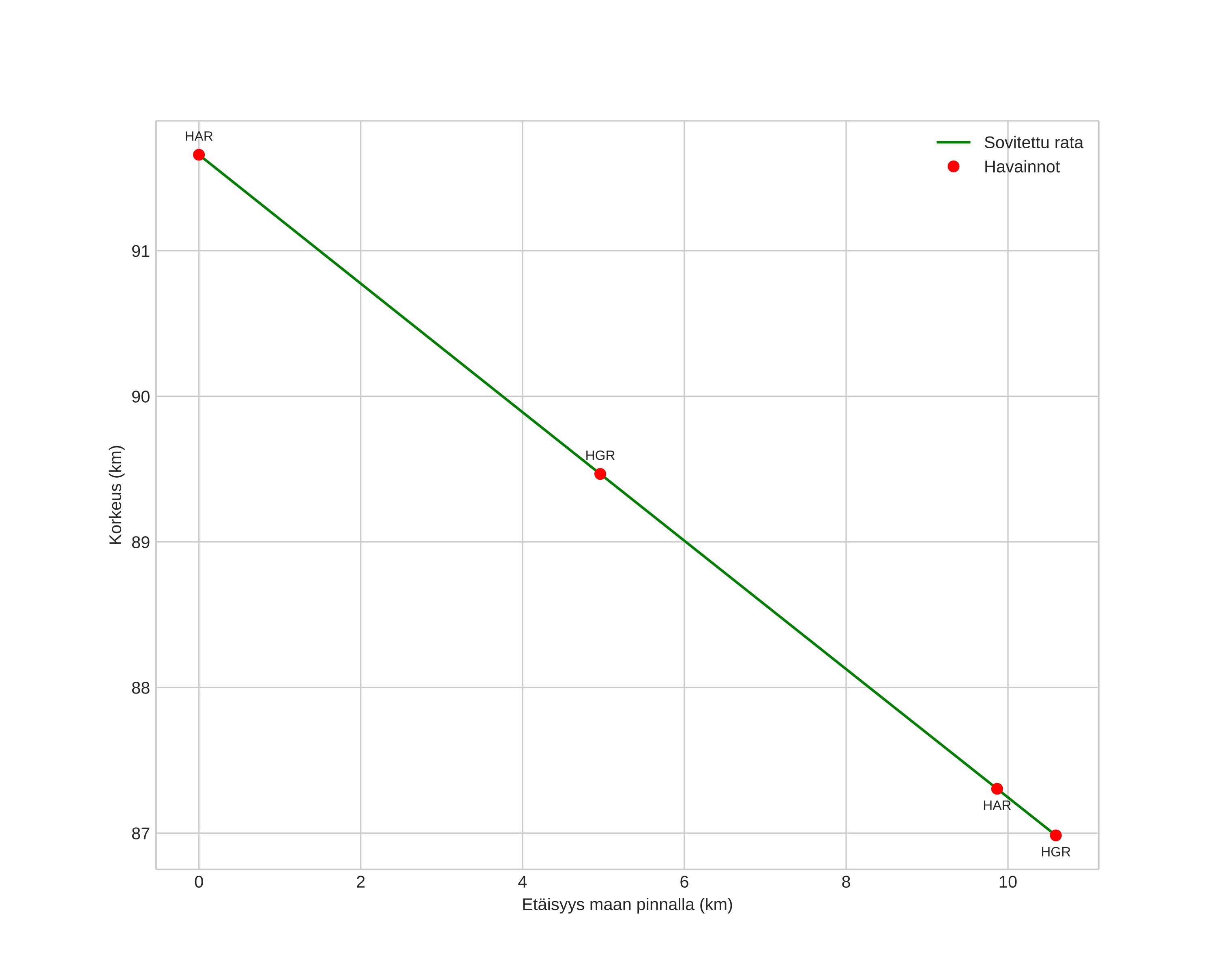
height profile
Meteorin ilmakehärata:
Alkukorkeus: 91,7 km
Loppukorkeus: 87,0 km
Alkupiste: 61,394N 11,075E
Loppupiste: 61,368N 10,884E
Suunta: 253,9°
Kallistuskulma: 23,9°
Tulonopeus: 31,4 km/s
Radiantin R,A,: 07:24 (111,2°)
Radiantin Dekl,: 26,6°
Meteoriparvi: Geminidit
Meteoroidin rataelementit:
Perihelietäisyys: 0,174 AU
Eksentrisyys: 0,837
Inklinaatio: 7,8°
Nousevan solmun pituus: 261,6°
Perihelin argumentti: 323,8°
Keskianomalia: 323,0°
Epookki: 2025 DEC 13 18:58:16
orbit plot

Ei-interaktiivinen kuvaaja | Interaktiivinen kuvaaja

position vs time
speed and acceleration

Hagar (HGR) cam2


gnomonic
Videot:
• Gnomoninen
• Gnomoninen koordinaateilla
• Alkuperäinen
• Alkuperäinen koordinaateilla
Kuvat:
• Gnomoninen
• Gnomoninen koordinaateilla
• Alkuperäinen
• Alkuperäinen koordinaateilla
Tekstitiedostot:
• Havaintoraportti
• Observaatio
• Koordinaatit
• Loki
Kirkkaus

Harestua (HAR) cam1


gnomonic
Videot:
• Gnomoninen
• Gnomoninen koordinaateilla
• Alkuperäinen
• Alkuperäinen koordinaateilla
Kuvat:
• Gnomoninen
• Gnomoninen koordinaateilla
• Alkuperäinen
• Alkuperäinen koordinaateilla
Tekstitiedostot:
• Havaintoraportti
• Observaatio
• Koordinaatit
• Loki
Kirkkaus