🇳🇴 🇬🇧 🇩🇪 🇨🇿 🇫🇮

Meteor Siljanin yllä 2025-12-13 20:43:49 UTC

KML-tiedosto  |  Interaktiivinen kartta

Kartta näyttää meteorin suuntahavainnot. Vaaleammat viivat näyttävät suunnat havaintoasemilta meteorin ilmestyessä, ja tummemmat viivat näyttävät, missä se viimeksi nähtiin. Sininen nuoli näyttää meteorin näkyvän lennon.

static map
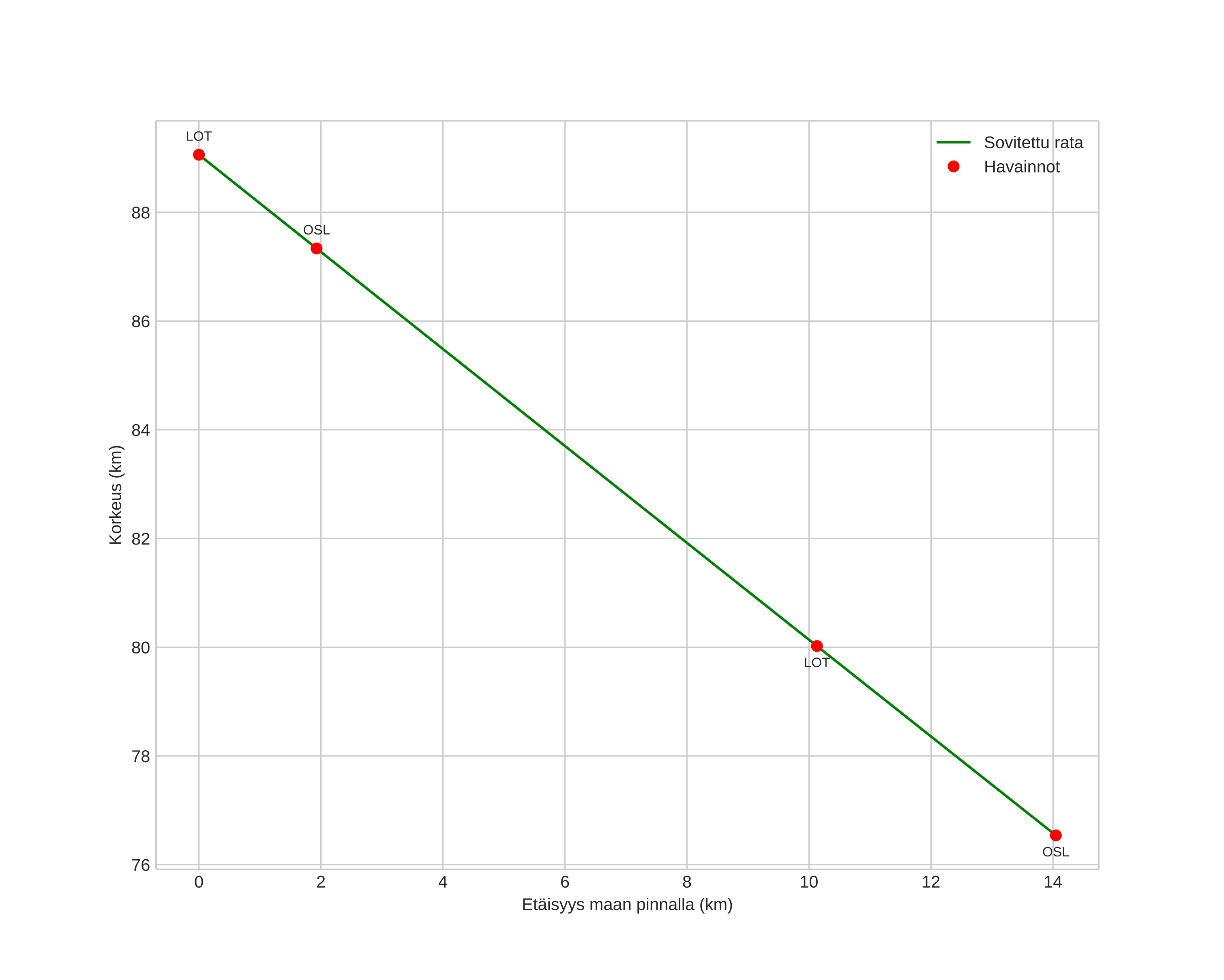
height profile
Meteorin ilmakehärata:
Alkukorkeus: 89,1 km
Loppukorkeus: 76,5 km
Alkupiste: 59,292N 10,131E
Loppupiste: 59,292N 9,883E
Suunta: 270,5°
Kallistuskulma: 41,9°
Tulonopeus: 36,4 km/s
Radiantin R,A,: 07:16 (109,1°)
Radiantin Dekl,: 34,0°
Meteoriparvi: Geminidit
Meteoroidin rataelementit:
Perihelietäisyys: 0,182 AU
Eksentrisyys: 0,892
Inklinaatio: 23,1°
Nousevan solmun pituus: 261,7°
Perihelin argumentti: 316,8°
Keskianomalia: 343,0°
Epookki: 2025 DEC 13 20:43:49
orbit plot

Ei-interaktiivinen kuvaaja | Interaktiivinen kuvaaja

position vs time
speed and acceleration

Loten (LOT) cam4


gnomonic
Videot:
• Gnomoninen
• Gnomoninen koordinaateilla
• Alkuperäinen
• Alkuperäinen koordinaateilla
Kuvat:
• Gnomoninen
• Gnomoninen koordinaateilla
• Alkuperäinen
• Alkuperäinen koordinaateilla
Tekstitiedostot:
• Havaintoraportti
• Observaatio
• Koordinaatit
• Loki
Kirkkaus

Voksenlia (OSL) cam3


gnomonic
Videot:
• Gnomoninen
• Gnomoninen koordinaateilla
• Alkuperäinen
• Alkuperäinen koordinaateilla
Kuvat:
• Gnomoninen
• Gnomoninen koordinaateilla
• Alkuperäinen
• Alkuperäinen koordinaateilla
Tekstitiedostot:
• Havaintoraportti
• Observaatio
• Koordinaatit
• Loki
Kirkkaus