🇳🇴 🇬🇧 🇩🇪 🇨🇿 🇫🇮

Meteor, poloha: Hurdal 2025-12-13 21:11:19 UTC

Soubor KML  |  Interaktivní mapa

Mapa zobrazuje dráhy meteoru. Světlejší čáry ukazují směry od pozorovacích stanic při objevení se meteoru a tmavší čáry, kde byl naposledy viděn. Modrá šipka značí viditelnou dráhu meteoru.

static map
height profile
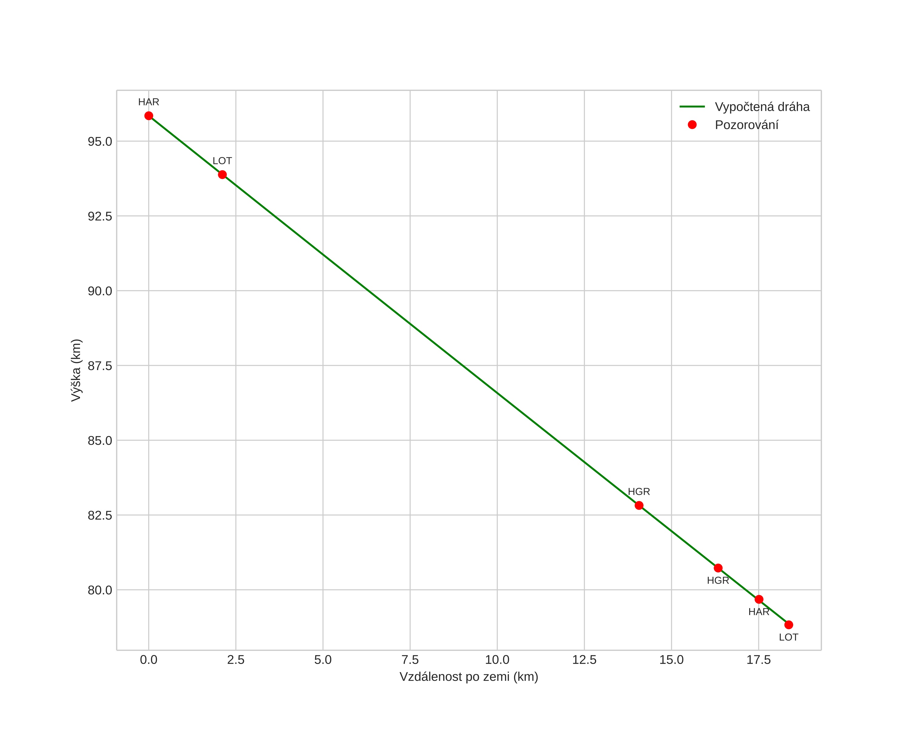
Atmosférická dráha meteoru:
Počáteční výška: 95,8 km
Konečná výška: 78,8 km
Počáteční poloha: 60,551N 11,421E
Konečná poloha: 60,570N 11,087E
Směr: 276,8°
Sklon: 42,8°
position vs time
speed and acceleration