🇳🇴 🇬🇧 🇩🇪 🇨🇿 🇫🇮

Meteor over Burfjord 2025-12-14 00:59:46 UTC

KML-fil  |  Interaktivt kart

Kartet viser peilingene for meteoren. De lysere linjene viser retningene fra observasjonsstedene for meteorens tilsynekomst, og de mørkere linjene viser hvor den sist kunne sees. Den blå pila viser meteorens synlige ferd.

static map
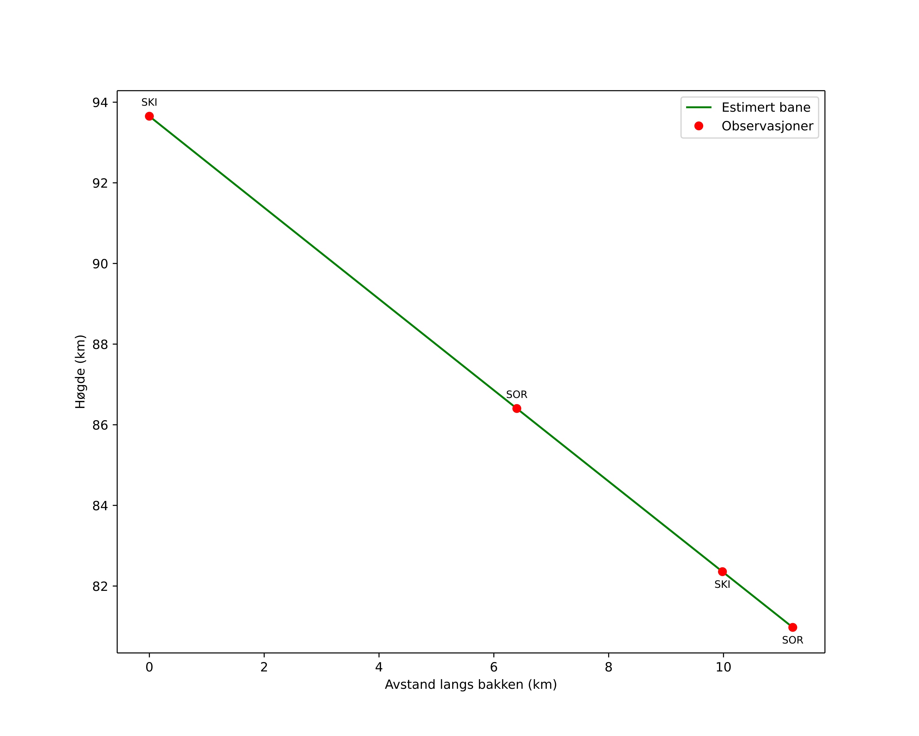
height profile
Meteorens atmosfæriske bane:
Starthøgde: 93,7 km
Slutthøgde: 81,0 km
Startposisjon: 69,536N 21,864E
Sluttposisjon: 69,633N 21,943E
Retning: 15,7°
Fallvinkel: 48,6°
Inngangshastighet: 39,6 km/s
Radiantens rektascensjon: 07:08 (107,2°)
Radiantens deklinasjon: 27,7°
Meteorsverm: Geminidene
Meteoroidens baneelement:
Perihelavstand: 0,138 AU
Eksentrisitet: 0,948
Inklinasjon: 12,7°
Knutelengde: 261,9°
Perihelargument: 320,1°
Midlere anomali: 352,2°
Epoke: 2025 DEC 14 00:59:46
orbit plot

Ikke-interaktivt plott | Interaktivt plott

position vs time
speed and acceleration

Skibotn (SKI) cam6


gnomonic
Videoer
• Gnomonisk
• Gnomonisk med koordinater
• Original
• Original med koordinater
Bilder
• Gnomonisk
• Gnomonisk med koordinater
• Original
• Original med koordinater
Tekstfiler
• Deteksjon
• Observasjon
• Koordinater
• Logg
Lysstyrke

Sorreisa (SOR) cam2


gnomonic
Videoer
• Gnomonisk
• Gnomonisk med koordinater
• Original
• Original med koordinater
Bilder
• Gnomonisk
• Gnomonisk med koordinater
• Original
• Original med koordinater
Tekstfiler
• Deteksjon
• Observasjon
• Koordinater
• Logg
Lysstyrke