🇳🇴 🇬🇧 🇩🇪 🇨🇿 🇫🇮

Meteor Evenskjerin yllä 2025-12-14 02:29:25 UTC

KML-tiedosto  |  Interaktiivinen kartta

Kartta näyttää meteorin suuntahavainnot. Vaaleammat viivat näyttävät suunnat havaintoasemilta meteorin ilmestyessä, ja tummemmat viivat näyttävät, missä se viimeksi nähtiin. Sininen nuoli näyttää meteorin näkyvän lennon.

static map
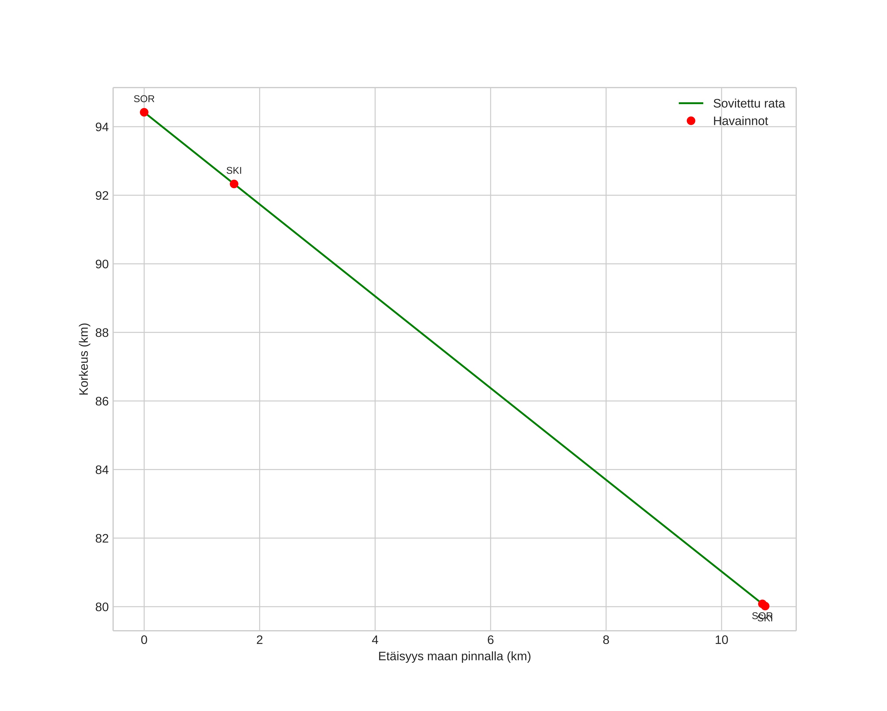
height profile
Meteorin ilmakehärata:
Alkukorkeus: 94,4 km
Loppukorkeus: 80,0 km
Alkupiste: 68,043N 16,574E
Loppupiste: 68,124N 16,713E
Suunta: 32,3°
Kallistuskulma: 53,2°
Tulonopeus: 38,4 km/s
Radiantin R,A,: 07:33 (113,3°)
Radiantin Dekl,: 32,8°
Meteoriparvi: Geminidit
Meteoroidin rataelementit:
Perihelietäisyys: 0,129 AU
Eksentrisyys: 0,921
Inklinaatio: 27,6°
Nousevan solmun pituus: 262,0°
Perihelin argumentti: 324,3°
Keskianomalia: 343,3°
Epookki: 2025 DEC 14 02:29:25
orbit plot

Ei-interaktiivinen kuvaaja | Interaktiivinen kuvaaja

position vs time
speed and acceleration

Skibotn (SKI) cam4


gnomonic
Videot:
• Gnomoninen
• Gnomoninen koordinaateilla
• Alkuperäinen
• Alkuperäinen koordinaateilla
Kuvat:
• Gnomoninen
• Gnomoninen koordinaateilla
• Alkuperäinen
• Alkuperäinen koordinaateilla
Tekstitiedostot:
• Havaintoraportti
• Observaatio
• Koordinaatit
• Loki
Kirkkaus

Sorreisa (SOR) cam4


gnomonic
Videot:
• Gnomoninen
• Gnomoninen koordinaateilla
• Alkuperäinen
• Alkuperäinen koordinaateilla
Kuvat:
• Gnomoninen
• Gnomoninen koordinaateilla
• Alkuperäinen
• Alkuperäinen koordinaateilla
Tekstitiedostot:
• Havaintoraportti
• Observaatio
• Koordinaatit
• Loki
Kirkkaus