🇳🇴 🇬🇧 🇩🇪 🇨🇿 🇫🇮

Meteor over Setermoen 2025-12-14 02:30:07 UTC

KML-fil  |  Interaktivt kart

Kartet viser peilingene for meteoren. De lysere linjene viser retningene fra observasjonsstedene for meteorens tilsynekomst, og de mørkere linjene viser hvor den sist kunne sees. Den blå pila viser meteorens synlige ferd.

static map
height profile
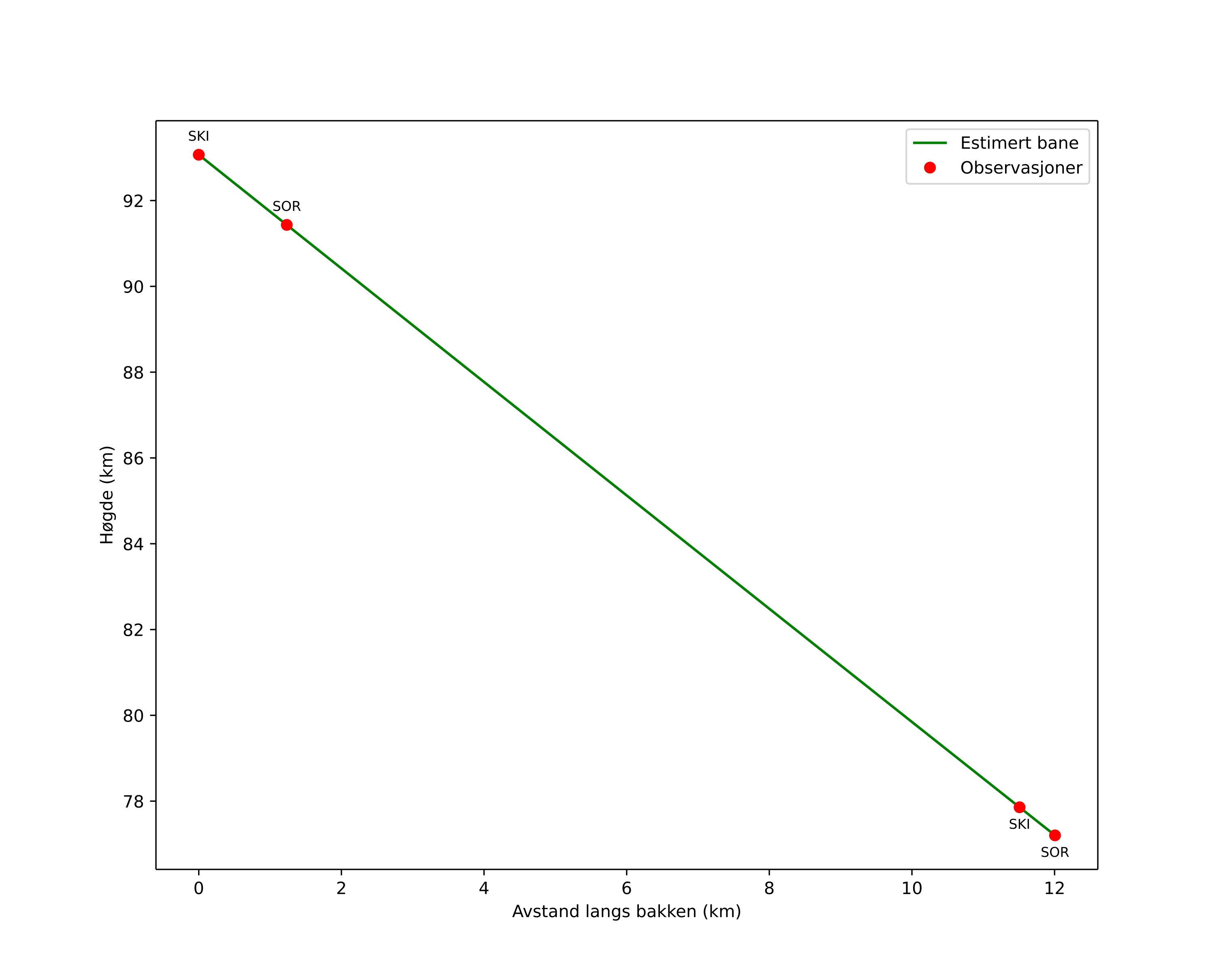
Meteorens atmosfæriske bane:
Starthøgde: 93,1 km
Slutthøgde: 77,2 km
Startposisjon: 67,728N 18,745E
Sluttposisjon: 67,817N 18,907E
Retning: 34,6°
Fallvinkel: 52,9°
Inngangshastighet: 38,3 km/s
Radiantens rektascensjon: 07:36 (114,1°)
Radiantens deklinasjon: 32,5°
Meteorsverm: Geminidene
Meteoroidens baneelement:
Perihelavstand: 0,123 AU
Eksentrisitet: 0,921
Inklinasjon: 27,8°
Knutelengde: 262,0°
Perihelargument: 325,6°
Midlere anomali: 341,9°
Epoke: 2025 DEC 14 02:30:07
orbit plot

Ikke-interaktivt plott | Interaktivt plott

position vs time
speed and acceleration

Skibotn (SKI) cam4


gnomonic
Videoer
• Gnomonisk
• Gnomonisk med koordinater
• Original
• Original med koordinater
Bilder
• Gnomonisk
• Gnomonisk med koordinater
• Original
• Original med koordinater
Tekstfiler
• Deteksjon
• Observasjon
• Koordinater
• Logg
Lysstyrke

Sorreisa (SOR) cam3


gnomonic
Videoer
• Gnomonisk
• Gnomonisk med koordinater
• Original
• Original med koordinater
Bilder
• Gnomonisk
• Gnomonisk med koordinater
• Original
• Original med koordinater
Tekstfiler
• Deteksjon
• Observasjon
• Koordinater
• Logg
Lysstyrke