🇳🇴 🇬🇧 🇩🇪 🇨🇿 🇫🇮

Meteor über Kiruna 2025-12-14 02:30:43 UTC

KML-Datei  |  Interaktive Karte

Die Karte zeigt die Peilungen für den Meteor. Die helleren Linien zeigen die Richtungen von den Beobachtungsorten beim Erscheinen des Meteors, und die dunkleren Linien, wo er zuletzt gesehen wurde. Der blaue Pfeil zeigt die sichtbare Bahn des Meteors.

static map
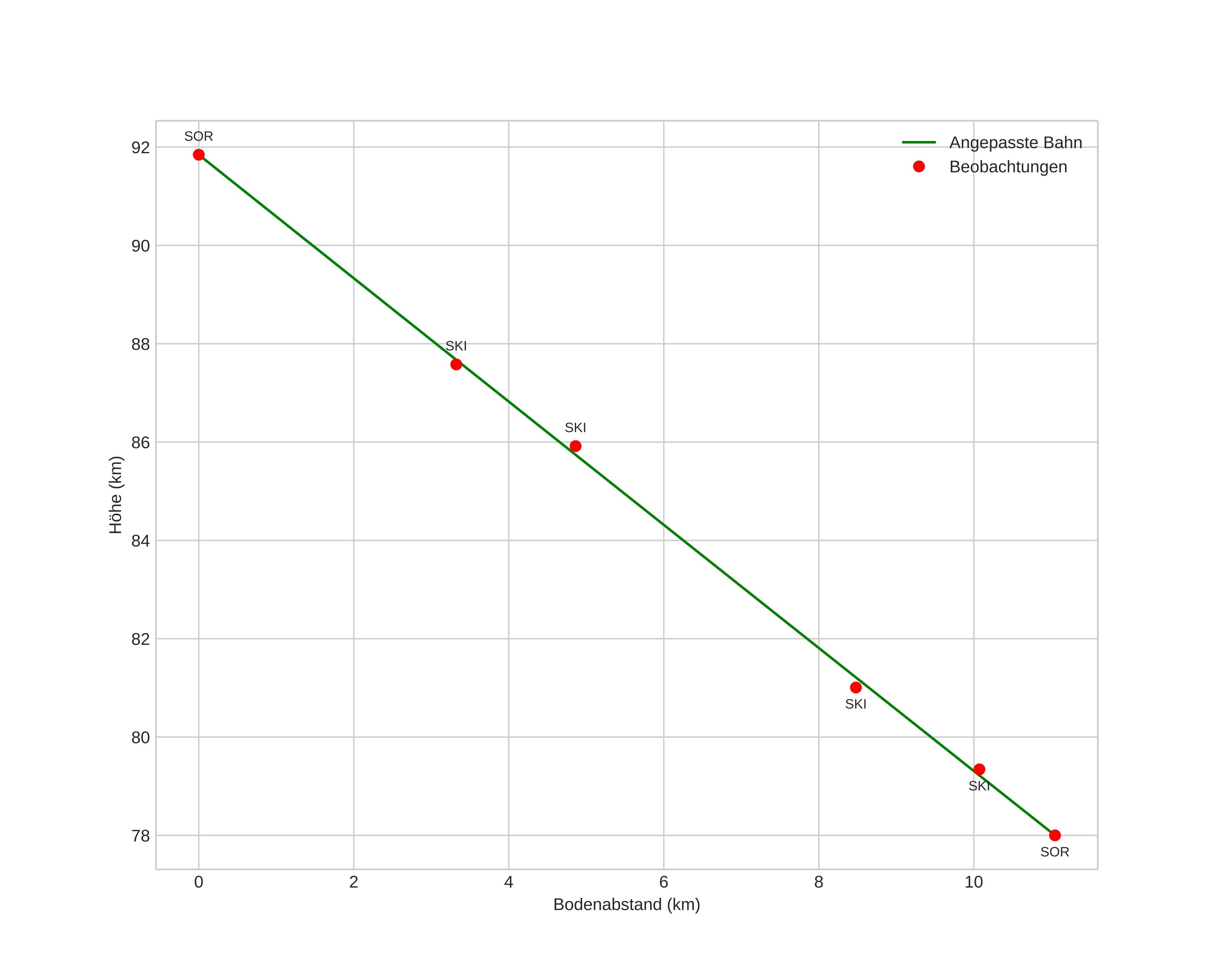
height profile
Atmosphärische Bahn des Meteors:
Anfangshöhe: 91,8 km
Endhöhe: 78,0 km
Startposition: 68,084N 21,215E
Endposition: 68,157N 21,394E
Richtung: 42,1°
Neigungswinkel: 51,3°
Eintrittsgeschwindigkeit: 35,0 km/s
Rektaszension des Radianten: 07:22 (110,7°)
Deklination des Radianten: 32,3°
Meteorstrom: Geminiden
Bahnelemente des Meteoroiden:
Periheldistanz: 0,170 AU
Exzentrizität: 0,880
Inklination: 20,0°
Länge des aufsteigenden Knotens: 262,0°
Argument des Perihels: 320,1°
Mittlere Anomalie: 337,5°
Epoche: 2025 DEC 14 02:30:43
orbit plot

Nicht-interaktives Diagramm | Interaktives Diagramm

position vs time
speed and acceleration

Skibotn (SKI) cam3


gnomonic
Videos
• Gnomonisch
• Gnomonisch mit Koordinaten
• Original
• Original mit Koordinaten
Bilder
• Gnomonisch
• Gnomonisch mit Koordinaten
• Original
• Original mit Koordinaten
Textdateien
• Erkennung
• Beobachtung
• Koordinaten
• Protokoll
Helligkeit

Skibotn (SKI) cam4


gnomonic
Videos
• Gnomonisch
• Gnomonisch mit Koordinaten
• Original
• Original mit Koordinaten
Bilder
• Gnomonisch
• Gnomonisch mit Koordinaten
• Original
• Original mit Koordinaten
Textdateien
• Erkennung
• Beobachtung
• Koordinaten
• Protokoll
Helligkeit

Sorreisa (SOR) cam3


gnomonic
Videos
• Gnomonisch
• Gnomonisch mit Koordinaten
• Original
• Original mit Koordinaten
Bilder
• Gnomonisch
• Gnomonisch mit Koordinaten
• Original
• Original mit Koordinaten
Textdateien
• Erkennung
• Beobachtung
• Koordinaten
• Protokoll
Helligkeit