🇳🇴 🇬🇧 🇩🇪 🇨🇿 🇫🇮

Meteor Straumenin yllä 2025-12-14 03:03:51 UTC

KML-tiedosto  |  Interaktiivinen kartta

Kartta näyttää meteorin suuntahavainnot. Vaaleammat viivat näyttävät suunnat havaintoasemilta meteorin ilmestyessä, ja tummemmat viivat näyttävät, missä se viimeksi nähtiin. Sininen nuoli näyttää meteorin näkyvän lennon.

static map
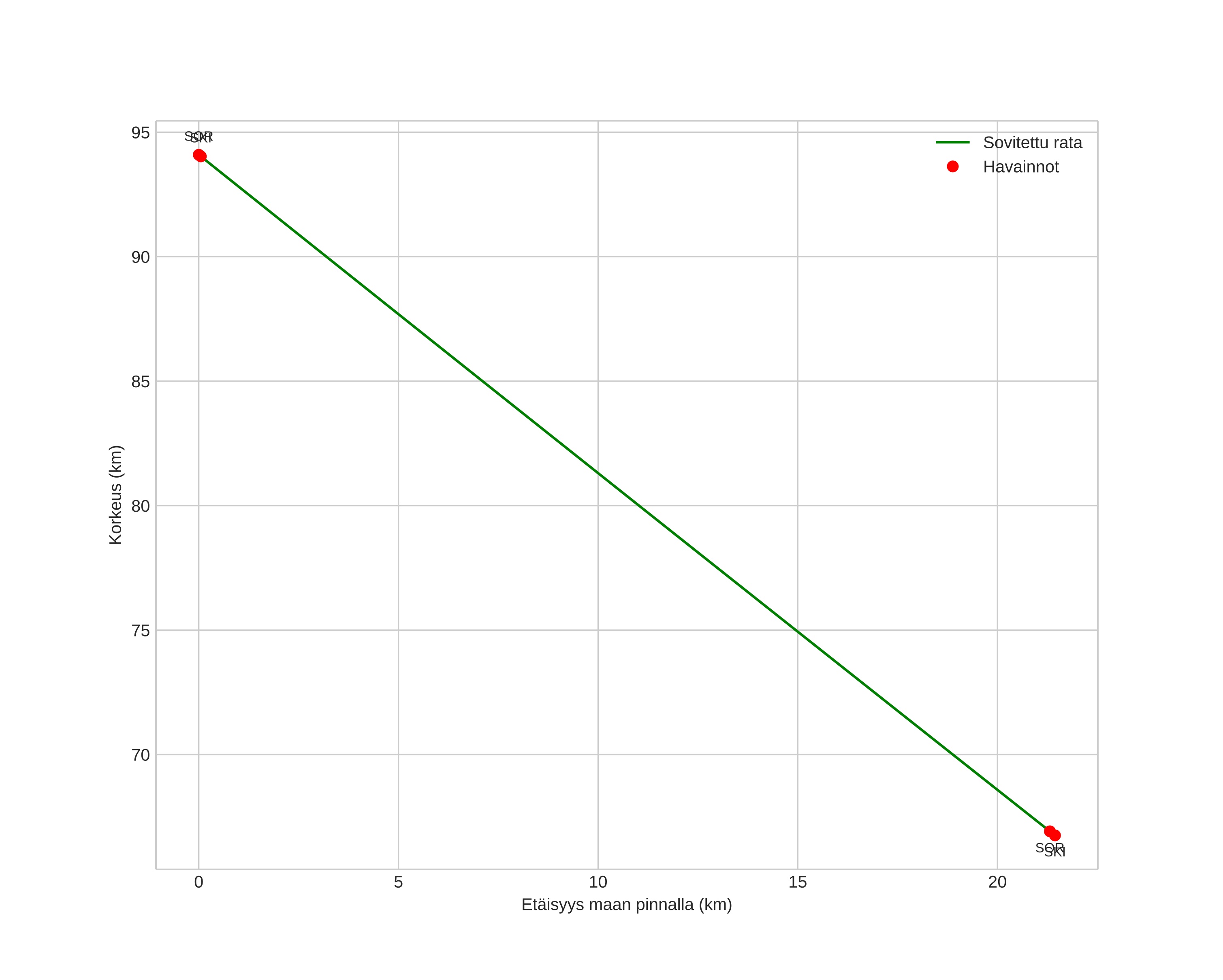
height profile
Meteorin ilmakehärata:
Alkukorkeus: 94,1 km
Loppukorkeus: 66,8 km
Alkupiste: 67,444N 16,079E
Loppupiste: 67,586N 16,421E
Suunta: 42,5°
Kallistuskulma: 51,9°
Tulonopeus: 35,4 km/s
Radiantin R,A,: 07:35 (113,9°)
Radiantin Dekl,: 32,4°
Meteoriparvi: Geminidit
Meteoroidin rataelementit:
Perihelietäisyys: 0,145 AU
Eksentrisyys: 0,886
Inklinaatio: 23,2°
Nousevan solmun pituus: 262,0°
Perihelin argumentti: 324,6°
Keskianomalia: 334,0°
Epookki: 2025 DEC 14 03:03:51
orbit plot

Ei-interaktiivinen kuvaaja | Interaktiivinen kuvaaja

position vs time
speed and acceleration

Skibotn (SKI) cam4


gnomonic
Videot:
• Gnomoninen
• Gnomoninen koordinaateilla
• Alkuperäinen
• Alkuperäinen koordinaateilla
Kuvat:
• Gnomoninen
• Gnomoninen koordinaateilla
• Alkuperäinen
• Alkuperäinen koordinaateilla
Tekstitiedostot:
• Havaintoraportti
• Observaatio
• Koordinaatit
• Loki
Kirkkaus

Sorreisa (SOR) cam4


gnomonic
Videot:
• Gnomoninen
• Gnomoninen koordinaateilla
• Alkuperäinen
• Alkuperäinen koordinaateilla
Kuvat:
• Gnomoninen
• Gnomoninen koordinaateilla
• Alkuperäinen
• Alkuperäinen koordinaateilla
Tekstitiedostot:
• Havaintoraportti
• Observaatio
• Koordinaatit
• Loki
Kirkkaus