🇳🇴 🇬🇧 🇩🇪 🇨🇿 🇫🇮

Meteor over Olderdalen 2025-12-14 06:32:44 UTC

KML-fil  |  Interaktivt kart

Kartet viser peilingene for meteoren. De lysere linjene viser retningene fra observasjonsstedene for meteorens tilsynekomst, og de mørkere linjene viser hvor den sist kunne sees. Den blå pila viser meteorens synlige ferd.

static map
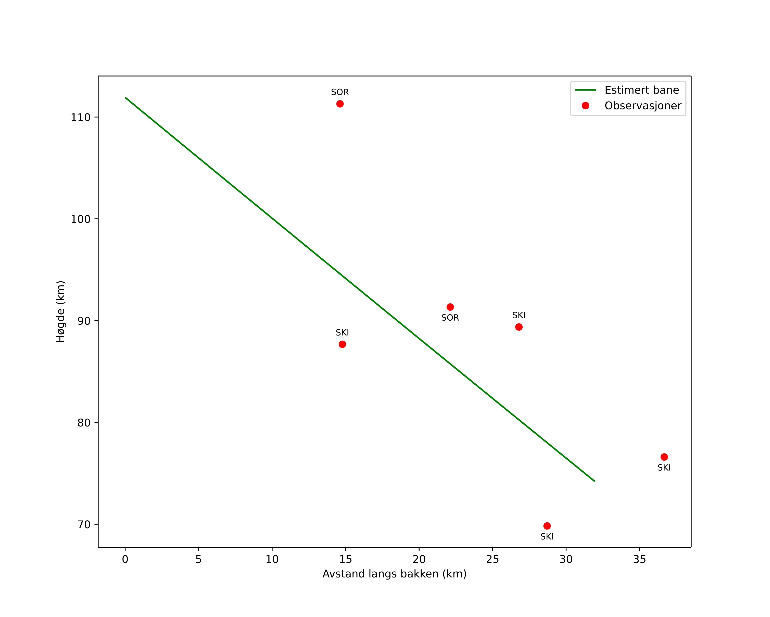
height profile
Meteorens atmosfæriske bane:
Starthøgde: 111,9 km
Slutthøgde: 74,2 km
Startposisjon: 69,135N 19,869E
Sluttposisjon: 69,098N 20,668E
Retning: 97,0°
Fallvinkel: 49,7°
Inngangshastighet: 41,3 km/s
Radiantens rektascensjon: 08:29 (127,3°)
Radiantens deklinasjon: 47,0°
Meteorsverm: sporadisk
Meteoroidens baneelement:
Perihelavstand: 0,250 AU
Eksentrisitet: 0,850
Inklinasjon: 62,0°
Knutelengde: 262,2°
Perihelargument: 308,7°
Midlere anomali: 341,3°
Epoke: 2025 DEC 14 06:32:44
orbit plot

Ikke-interaktivt plott | Interaktivt plott

position vs time
speed and acceleration

Skibotn (SKI) cam7


gnomonic
Videoer
• Gnomonisk
• Gnomonisk med koordinater
• Original
• Original med koordinater
Bilder
• Gnomonisk
• Gnomonisk med koordinater
• Original
• Original med koordinater
Tekstfiler
• Deteksjon
• Observasjon
• Koordinater
• Logg
Lysstyrke

Sorreisa (SOR) cam7


gnomonic
Videoer
• Gnomonisk
• Gnomonisk med koordinater
• Original
• Original med koordinater
Bilder
• Gnomonisk
• Gnomonisk med koordinater
• Original
• Original med koordinater
Tekstfiler
• Deteksjon
• Observasjon
• Koordinater
• Logg
Lysstyrke