🇳🇴 🇬🇧 🇩🇪 🇨🇿 🇫🇮

Meteor over Hatteng 2025-12-14 06:55:16 UTC

KML-fil  |  Interaktivt kart

Kartet viser peilingene for meteoren. De lysere linjene viser retningene fra observasjonsstedene for meteorens tilsynekomst, og de mørkere linjene viser hvor den sist kunne sees. Den blå pila viser meteorens synlige ferd.

static map
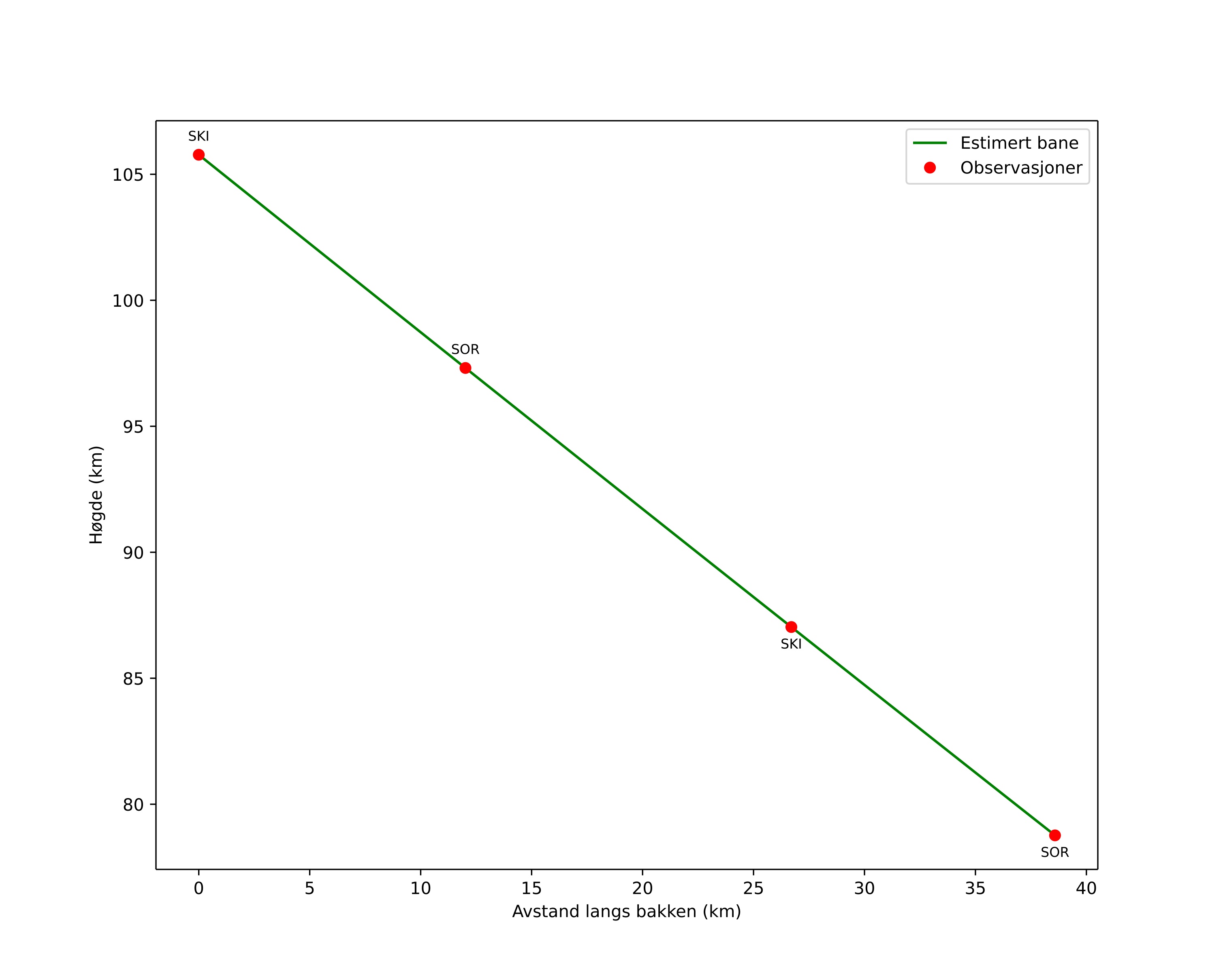
height profile
Meteorens atmosfæriske bane:
Starthøgde: 105,8 km
Slutthøgde: 78,8 km
Startposisjon: 69,412N 19,054E
Sluttposisjon: 69,315N 19,999E
Retning: 105,8°
Fallvinkel: 35,0°
Inngangshastighet: 42,6 km/s
Radiantens rektascensjon: 07:38 (114,6°)
Radiantens deklinasjon: 36,9°
Meteorsverm: sporadisk
Meteoroidens baneelement:
Perihelavstand: 0,140 AU
Eksentrisitet: 0,952
Inklinasjon: 43,1°
Knutelengde: 262,2°
Perihelargument: 319,3°
Midlere anomali: 353,4°
Epoke: 2025 DEC 14 06:55:16
orbit plot

Ikke-interaktivt plott | Interaktivt plott

position vs time
speed and acceleration

Skibotn (SKI) cam6


gnomonic
Videoer
• Gnomonisk
• Gnomonisk med koordinater
• Original
• Original med koordinater
Bilder
• Gnomonisk
• Gnomonisk med koordinater
• Original
• Original med koordinater
Tekstfiler
• Deteksjon
• Observasjon
• Koordinater
• Logg
Lysstyrke

Sorreisa (SOR) cam6


gnomonic
Videoer
• Gnomonisk
• Gnomonisk med koordinater
• Original
• Original med koordinater
Bilder
• Gnomonisk
• Gnomonisk med koordinater
• Original
• Original med koordinater
Tekstfiler
• Deteksjon
• Observasjon
• Koordinater
• Logg
Lysstyrke