🇳🇴 🇬🇧 🇩🇪 🇨🇿 🇫🇮

Meteor Hansnesin yllä 2025-12-14 23:12:32 UTC

KML-tiedosto  |  Interaktiivinen kartta

Kartta näyttää meteorin suuntahavainnot. Vaaleammat viivat näyttävät suunnat havaintoasemilta meteorin ilmestyessä, ja tummemmat viivat näyttävät, missä se viimeksi nähtiin. Sininen nuoli näyttää meteorin näkyvän lennon.

static map
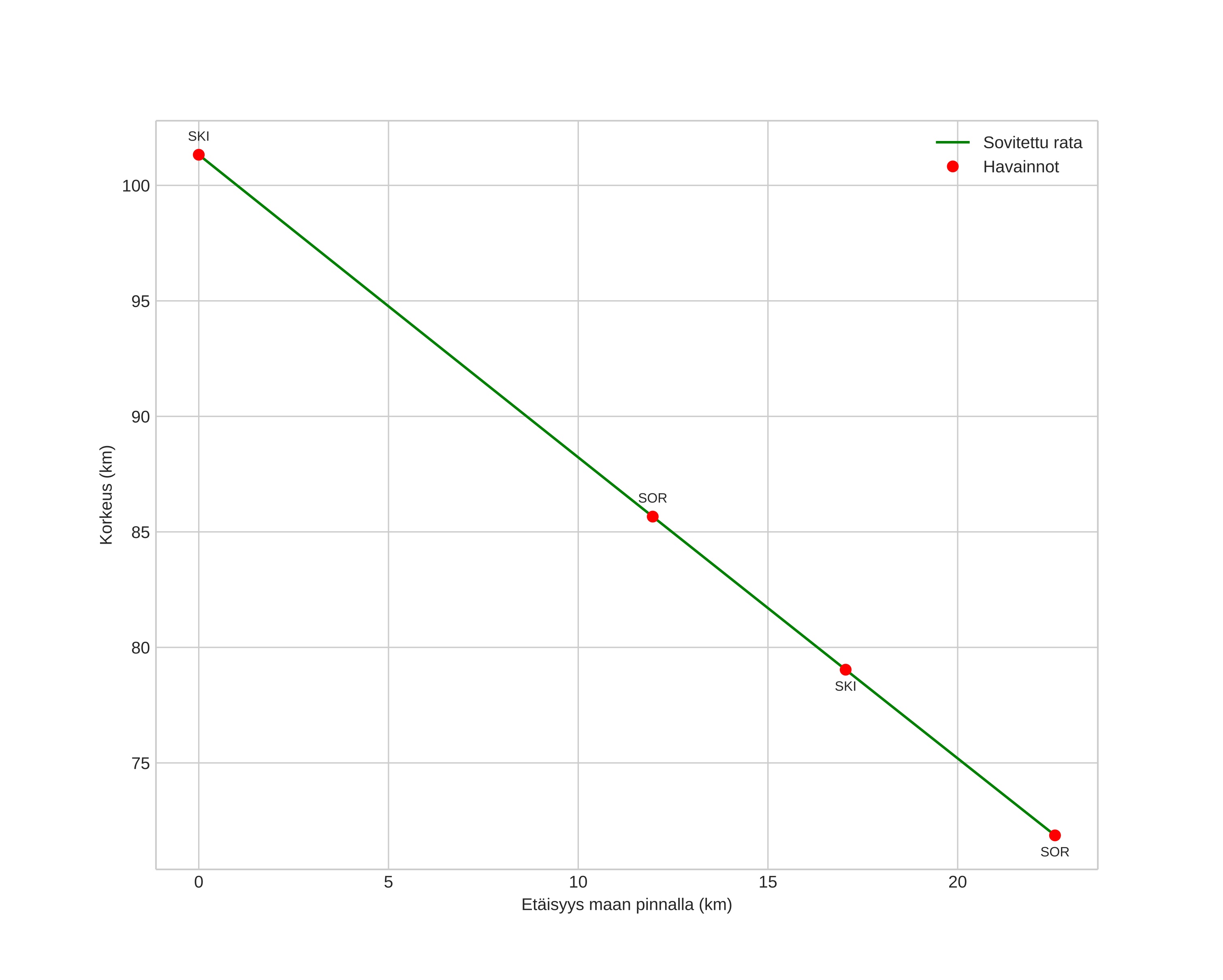
height profile
Meteorin ilmakehärata:
Alkukorkeus: 101,3 km
Loppukorkeus: 71,9 km
Alkupiste: 70,155N 20,427E
Loppupiste: 70,323N 20,091E
Suunta: 326,2°
Kallistuskulma: 52,5°
Tulonopeus: 37,6 km/s
Radiantin R,A,: 07:45 (116,3°)
Radiantin Dekl,: 34,3°
Meteoriparvi: Geminidit
Meteoroidin rataelementit:
Perihelietäisyys: 0,136 AU
Eksentrisyys: 0,904
Inklinaatio: 31,1°
Nousevan solmun pituus: 262,9°
Perihelin argumentti: 324,6°
Keskianomalia: 338,6°
Epookki: 2025 DEC 14 23:12:32
orbit plot

Ei-interaktiivinen kuvaaja | Interaktiivinen kuvaaja

position vs time
speed and acceleration

Skibotn (SKI) cam1


gnomonic
Videot:
• Gnomoninen
• Gnomoninen koordinaateilla
• Alkuperäinen
• Alkuperäinen koordinaateilla
Kuvat:
• Gnomoninen
• Gnomoninen koordinaateilla
• Alkuperäinen
• Alkuperäinen koordinaateilla
Tekstitiedostot:
• Havaintoraportti
• Observaatio
• Koordinaatit
• Loki
Kirkkaus

Sorreisa (SOR) cam1


gnomonic
Videot:
• Gnomoninen
• Gnomoninen koordinaateilla
• Alkuperäinen
• Alkuperäinen koordinaateilla
Kuvat:
• Gnomoninen
• Gnomoninen koordinaateilla
• Alkuperäinen
• Alkuperäinen koordinaateilla
Tekstitiedostot:
• Havaintoraportti
• Observaatio
• Koordinaatit
• Loki
Kirkkaus