🇳🇴 🇬🇧 🇩🇪 🇨🇿 🇫🇮

Meteor Storsteinnesin yllä 2025-12-16 00:25:48 UTC

KML-tiedosto  |  Interaktiivinen kartta

Kartta näyttää meteorin suuntahavainnot. Vaaleammat viivat näyttävät suunnat havaintoasemilta meteorin ilmestyessä, ja tummemmat viivat näyttävät, missä se viimeksi nähtiin. Sininen nuoli näyttää meteorin näkyvän lennon.

static map
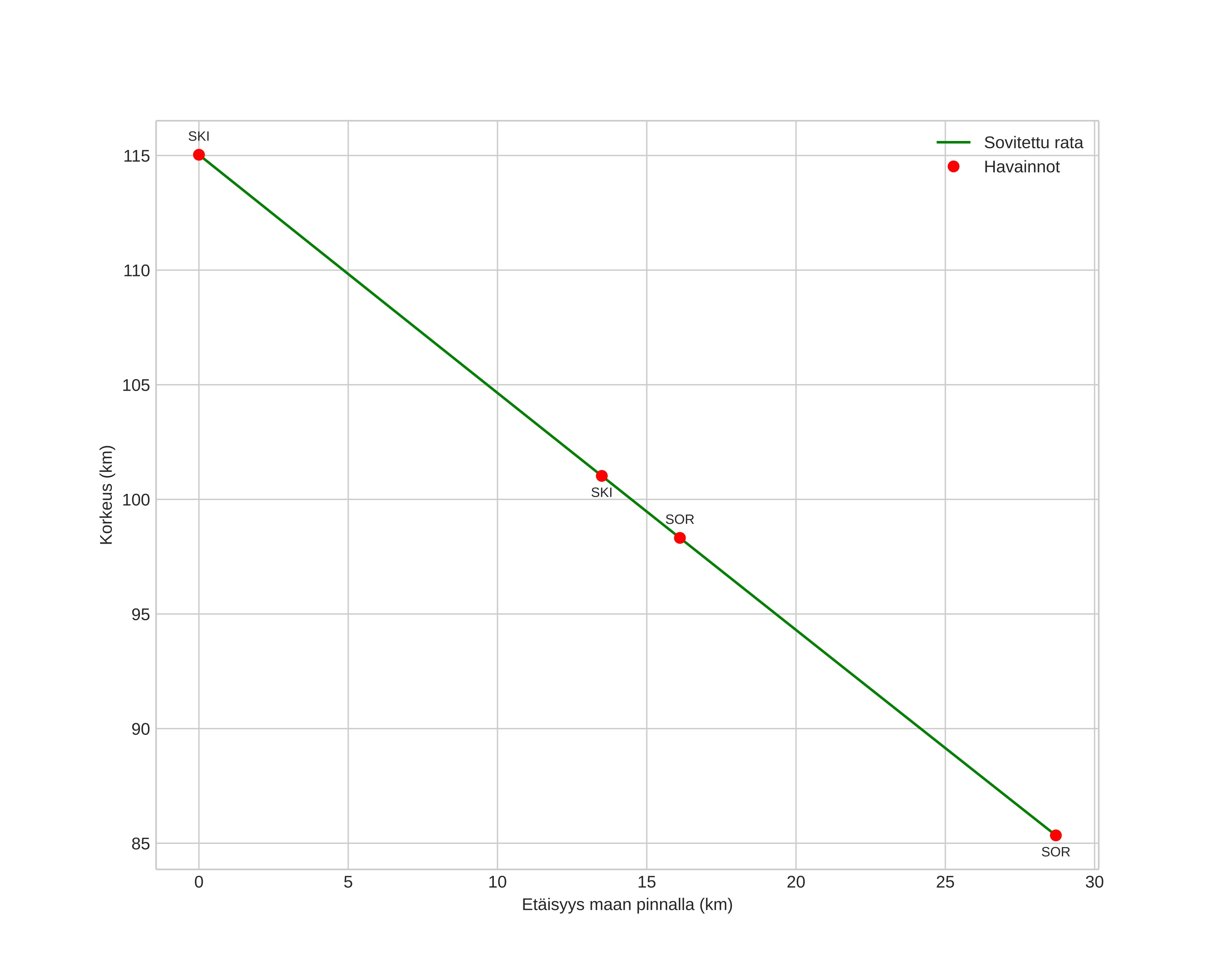
height profile
Meteorin ilmakehärata:
Alkukorkeus: 115,0 km
Loppukorkeus: 85,3 km
Alkupiste: 68,900N 19,792E
Loppupiste: 69,015N 19,148E
Suunta: 296,7°
Kallistuskulma: 46,0°
Tulonopeus: 71,8 km/s
Radiantin R,A,: 10:36 (159,1°)
Radiantin Dekl,: 33,8°
Meteoriparvi: desember-leonis-minoridene
Meteoroidin rataelementit:
Perihelietäisyys: 0,691 AU
Eksentrisyys: 1,474
Inklinaatio: 135,2°
Nousevan solmun pituus: 263,9°
Perihelin argumentti: 240,0°
Keskianomalia: -16,0°
Epookki: 2025 DEC 16 00:25:48
orbit plot

Ei-interaktiivinen kuvaaja | Interaktiivinen kuvaaja

position vs time
speed and acceleration

Skibotn (SKI) cam7


gnomonic
Videot:
• Gnomoninen
• Gnomoninen koordinaateilla
• Alkuperäinen
• Alkuperäinen koordinaateilla
Kuvat:
• Gnomoninen
• Gnomoninen koordinaateilla
• Alkuperäinen
• Alkuperäinen koordinaateilla
Tekstitiedostot:
• Havaintoraportti
• Observaatio
• Koordinaatit
• Loki
Kirkkaus

Sorreisa (SOR) cam6


gnomonic
Videot:
• Gnomoninen
• Gnomoninen koordinaateilla
• Alkuperäinen
• Alkuperäinen koordinaateilla
Kuvat:
• Gnomoninen
• Gnomoninen koordinaateilla
• Alkuperäinen
• Alkuperäinen koordinaateilla
Tekstitiedostot:
• Havaintoraportti
• Observaatio
• Koordinaatit
• Loki
Kirkkaus