🇳🇴 🇬🇧 🇩🇪 🇨🇿 🇫🇮

Meteor over Andenes 2025-12-17 21:20:38 UTC

KML-fil  |  Interaktivt kart

Kartet viser peilingene for meteoren. De lysere linjene viser retningene fra observasjonsstedene for meteorens tilsynekomst, og de mørkere linjene viser hvor den sist kunne sees. Den blå pila viser meteorens synlige ferd.

static map
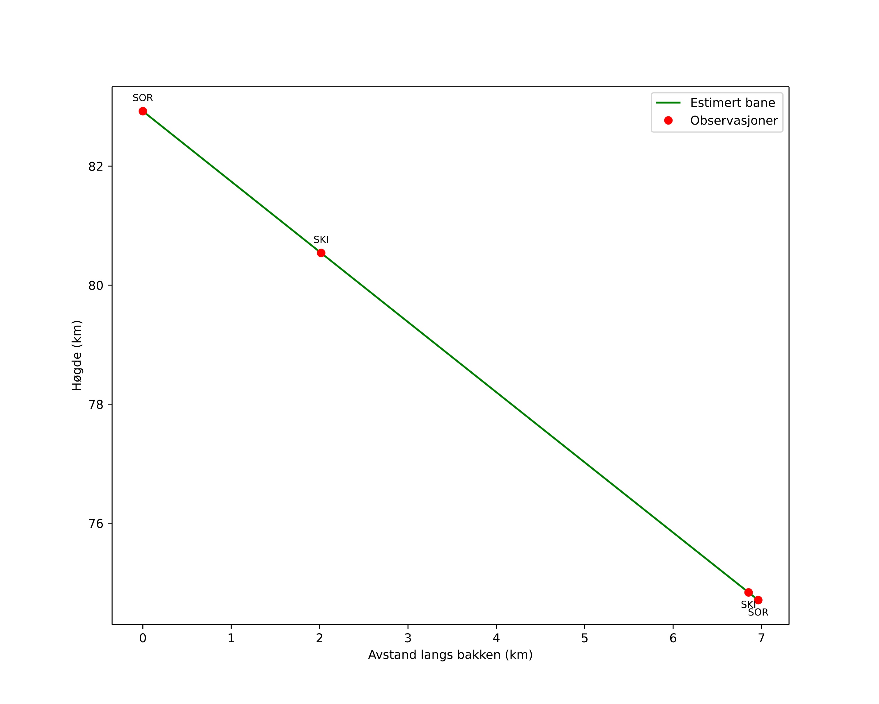
height profile
Meteorens atmosfæriske bane:
Starthøgde: 82,9 km
Slutthøgde: 74,7 km
Startposisjon: 69,462N 16,309E
Sluttposisjon: 69,516N 16,220E
Retning: 329,9°
Fallvinkel: 49,7°
Inngangshastighet: 25,4 km/s
Radiantens rektascensjon: 05:40 (85,1°)
Radiantens deklinasjon: 29,0°
Meteorsverm: sporadisk
Meteoroidens baneelement:
Perihelavstand: 0,571 AU
Eksentrisitet: 0,770
Inklinasjon: 4,2°
Knutelengde: 265,8°
Perihelargument: 268,1°
Midlere anomali: 349,0°
Epoke: 2025 DEC 17 21:20:38
orbit plot

Ikke-interaktivt plott | Interaktivt plott

position vs time
speed and acceleration

Skibotn (SKI) cam5


gnomonic
Videoer
• Gnomonisk
• Gnomonisk med koordinater
• Original
• Original med koordinater
Bilder
• Gnomonisk
• Gnomonisk med koordinater
• Original
• Original med koordinater
Tekstfiler
• Deteksjon
• Observasjon
• Koordinater
• Logg
Lysstyrke

Sorreisa (SOR) cam5


gnomonic
Videoer
• Gnomonisk
• Gnomonisk med koordinater
• Original
• Original med koordinater
Bilder
• Gnomonisk
• Gnomonisk med koordinater
• Original
• Original med koordinater
Tekstfiler
• Deteksjon
• Observasjon
• Koordinater
• Logg
Lysstyrke