🇳🇴 🇬🇧 🇩🇪 🇨🇿 🇫🇮

Meteor Andenesin yllä 2025-12-17 21:20:38 UTC

KML-tiedosto  |  Interaktiivinen kartta

Kartta näyttää meteorin suuntahavainnot. Vaaleammat viivat näyttävät suunnat havaintoasemilta meteorin ilmestyessä, ja tummemmat viivat näyttävät, missä se viimeksi nähtiin. Sininen nuoli näyttää meteorin näkyvän lennon.

static map
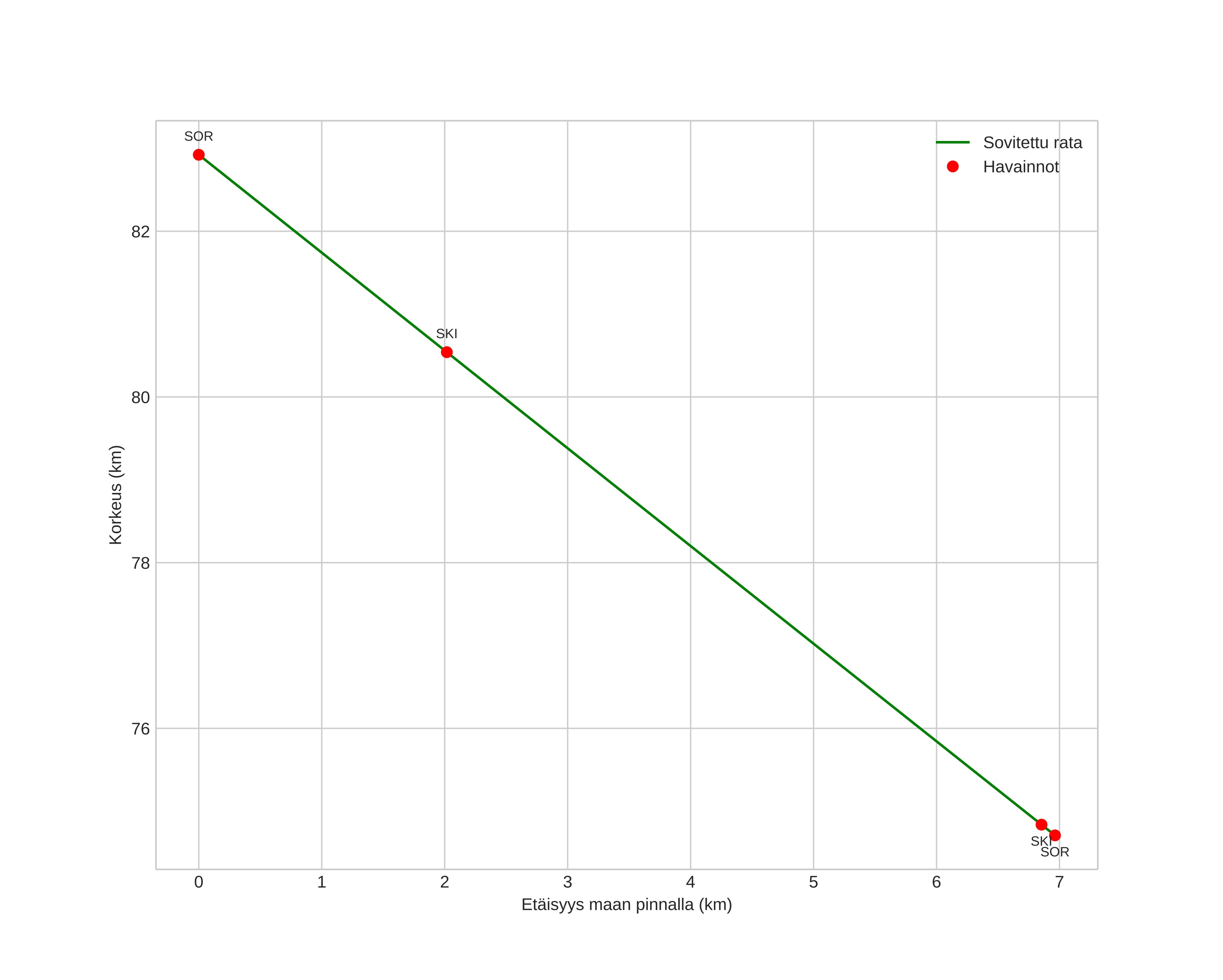
height profile
Meteorin ilmakehärata:
Alkukorkeus: 82,9 km
Loppukorkeus: 74,7 km
Alkupiste: 69,462N 16,309E
Loppupiste: 69,516N 16,220E
Suunta: 329,9°
Kallistuskulma: 49,7°
Tulonopeus: 25,4 km/s
Radiantin R,A,: 05:40 (85,1°)
Radiantin Dekl,: 29,0°
Meteoriparvi: Sporadinen
Meteoroidin rataelementit:
Perihelietäisyys: 0,571 AU
Eksentrisyys: 0,770
Inklinaatio: 4,2°
Nousevan solmun pituus: 265,8°
Perihelin argumentti: 268,1°
Keskianomalia: 349,0°
Epookki: 2025 DEC 17 21:20:38
orbit plot

Ei-interaktiivinen kuvaaja | Interaktiivinen kuvaaja

position vs time
speed and acceleration

Skibotn (SKI) cam5


gnomonic
Videot:
• Gnomoninen
• Gnomoninen koordinaateilla
• Alkuperäinen
• Alkuperäinen koordinaateilla
Kuvat:
• Gnomoninen
• Gnomoninen koordinaateilla
• Alkuperäinen
• Alkuperäinen koordinaateilla
Tekstitiedostot:
• Havaintoraportti
• Observaatio
• Koordinaatit
• Loki
Kirkkaus

Sorreisa (SOR) cam5


gnomonic
Videot:
• Gnomoninen
• Gnomoninen koordinaateilla
• Alkuperäinen
• Alkuperäinen koordinaateilla
Kuvat:
• Gnomoninen
• Gnomoninen koordinaateilla
• Alkuperäinen
• Alkuperäinen koordinaateilla
Tekstitiedostot:
• Havaintoraportti
• Observaatio
• Koordinaatit
• Loki
Kirkkaus