🇳🇴 🇬🇧 🇩🇪 🇨🇿 🇫🇮

Meteor over Setermoen 2025-12-17 22:13:12 UTC

KML-fil  |  Interaktivt kart

Kartet viser peilingene for meteoren. De lysere linjene viser retningene fra observasjonsstedene for meteorens tilsynekomst, og de mørkere linjene viser hvor den sist kunne sees. Den blå pila viser meteorens synlige ferd.

static map
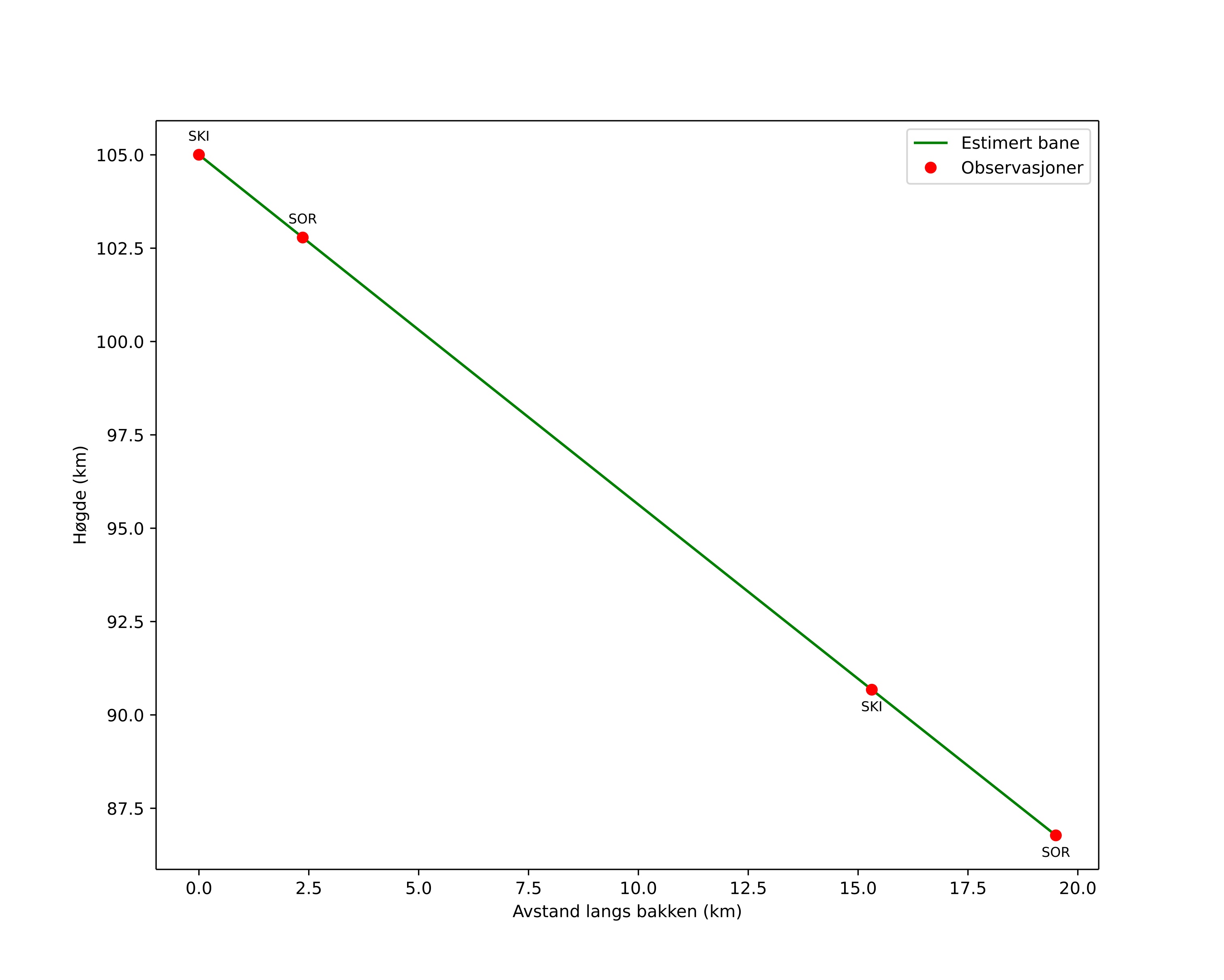
height profile
Meteorens atmosfæriske bane:
Starthøgde: 105,0 km
Slutthøgde: 86,8 km
Startposisjon: 68,157N 19,391E
Sluttposisjon: 68,176N 18,922E
Retning: 276,4°
Fallvinkel: 43,0°
Inngangshastighet: 51,5 km/s
Radiantens rektascensjon: 09:38 (144,7°)
Radiantens deklinasjon: 36,7°
Meteorsverm: sporadisk
Meteoroidens baneelement:
Perihelavstand: 0,207 AU
Eksentrisitet: 0,886
Inklinasjon: 104,8°
Knutelengde: 265,9°
Perihelargument: 313,0°
Midlere anomali: 344,4°
Epoke: 2025 DEC 17 22:13:12
orbit plot

Ikke-interaktivt plott | Interaktivt plott

position vs time
speed and acceleration

Skibotn (SKI) cam4


gnomonic
Videoer
• Gnomonisk
• Gnomonisk med koordinater
• Original
• Original med koordinater
Bilder
• Gnomonisk
• Gnomonisk med koordinater
• Original
• Original med koordinater
Tekstfiler
• Deteksjon
• Observasjon
• Koordinater
• Logg
Lysstyrke

Sorreisa (SOR) cam3


gnomonic
Videoer
• Gnomonisk
• Gnomonisk med koordinater
• Original
• Original med koordinater
Bilder
• Gnomonisk
• Gnomonisk med koordinater
• Original
• Original med koordinater
Tekstfiler
• Deteksjon
• Observasjon
• Koordinater
• Logg
Lysstyrke