🇳🇴 🇬🇧 🇩🇪 🇨🇿 🇫🇮

Meteor over Innbygda 2025-12-18 18:37:35 UTC

KML-fil  |  Interaktivt kart

Kartet viser peilingene for meteoren. De lysere linjene viser retningene fra observasjonsstedene for meteorens tilsynekomst, og de mørkere linjene viser hvor den sist kunne sees. Den blå pila viser meteorens synlige ferd.

static map
height profile
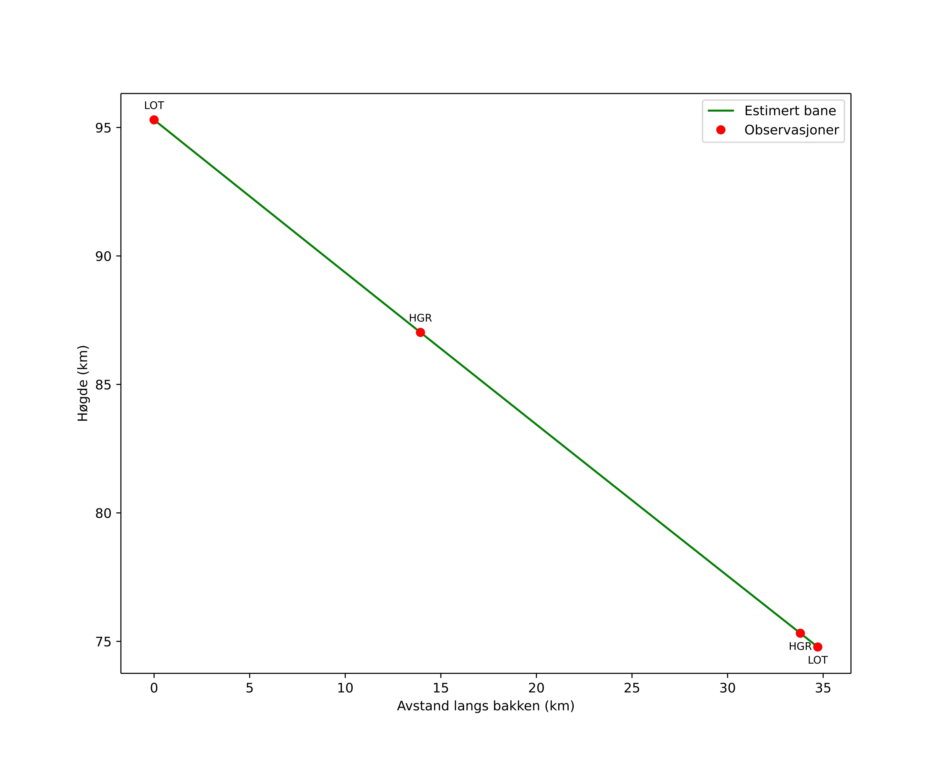
Meteorens atmosfæriske bane:
Starthøgde: 95,3 km
Slutthøgde: 74,8 km
Startposisjon: 61,135N 12,595E
Sluttposisjon: 61,126N 11,948E
Retning: 268,8°
Fallvinkel: 30,6°
Inngangshastighet: 28,9 km/s
Radiantens rektascensjon: 06:22 (95,6°)
Radiantens deklinasjon: 25,0°
Meteorsverm: sporadisk
Meteoroidens baneelement:
Perihelavstand: 0,423 AU
Eksentrisitet: 0,805
Inklinasjon: 1,6°
Knutelengde: 266,6°
Perihelargument: 286,3°
Midlere anomali: 346,6°
Epoke: 2025 DEC 18 18:37:35
orbit plot

Ikke-interaktivt plott | Interaktivt plott

position vs time
speed and acceleration

Hagar (HGR) cam7


gnomonic
Videoer
• Gnomonisk
• Gnomonisk med koordinater
• Original
• Original med koordinater
Bilder
• Gnomonisk
• Gnomonisk med koordinater
• Original
• Original med koordinater
Tekstfiler
• Deteksjon
• Observasjon
• Koordinater
• Logg
Lysstyrke

Loten (LOT) cam6


gnomonic
Videoer
• Gnomonisk
• Gnomonisk med koordinater
• Original
• Original med koordinater
Bilder
• Gnomonisk
• Gnomonisk med koordinater
• Original
• Original med koordinater
Tekstfiler
• Deteksjon
• Observasjon
• Koordinater
• Logg
Lysstyrke