🇳🇴 🇬🇧 🇩🇪 🇨🇿 🇫🇮

Meteor Lerwickin yllä 2025-12-20 00:47:22 UTC

KML-tiedosto  |  Interaktiivinen kartta

Kartta näyttää meteorin suuntahavainnot. Vaaleammat viivat näyttävät suunnat havaintoasemilta meteorin ilmestyessä, ja tummemmat viivat näyttävät, missä se viimeksi nähtiin. Sininen nuoli näyttää meteorin näkyvän lennon.

static map
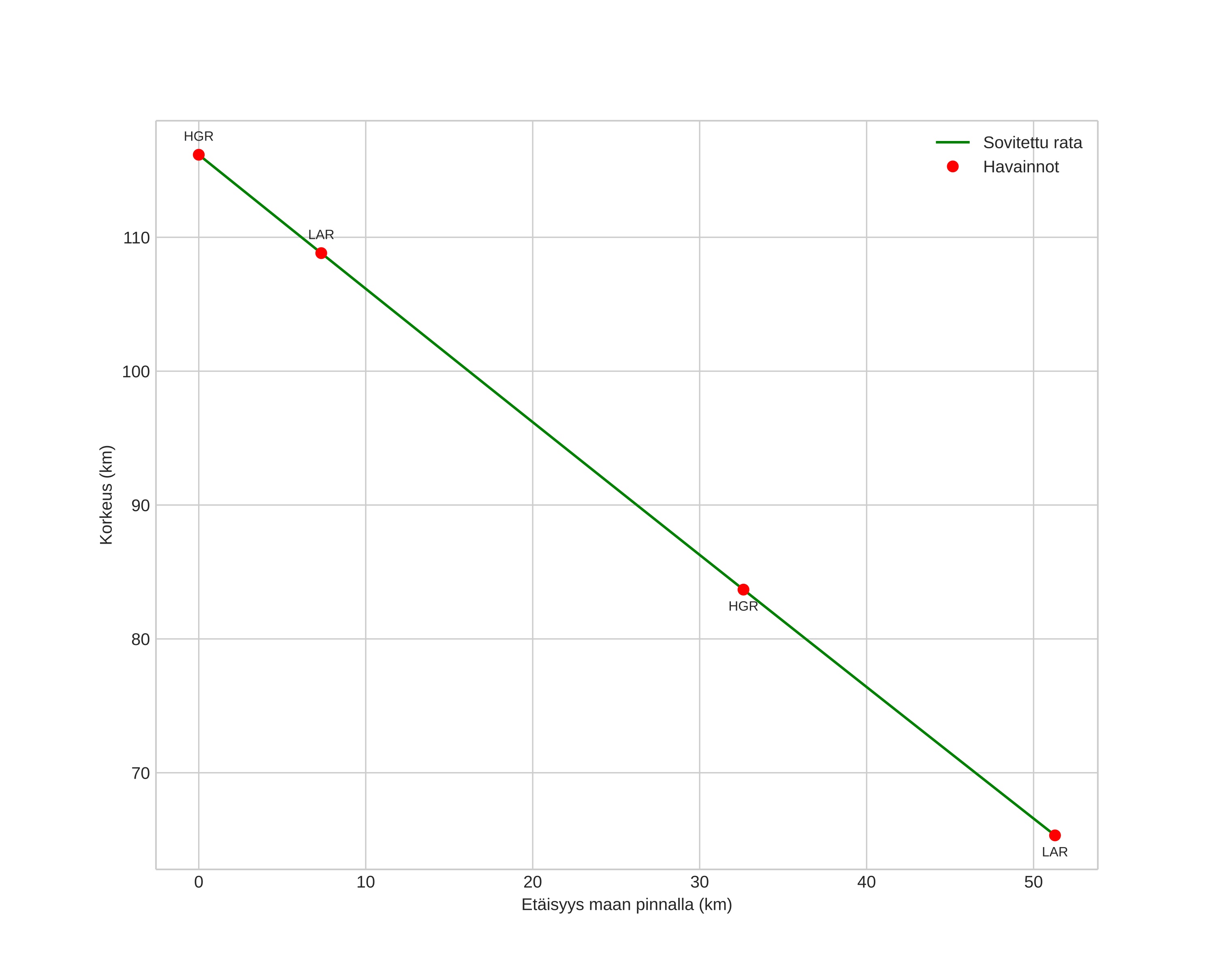
height profile
Meteorin ilmakehärata:
Alkukorkeus: 116,2 km
Loppukorkeus: 65,3 km
Alkupiste: 61,956N 2,532E
Loppupiste: 62,010N 1,557E
Suunta: 277,1°
Kallistuskulma: 44,8°
Tulonopeus: 66,2 km/s
Radiantin R,A,: 10:50 (162,7°)
Radiantin Dekl,: 35,4°
Meteoriparvi: desember-leonis-minoridene
Meteoroidin rataelementit:
Perihelietäisyys: 0,634 AU
Eksentrisyys: 1,162
Inklinaatio: 127,1°
Nousevan solmun pituus: 268,0°
Perihelin argumentti: 250,2°
Keskianomalia: -4,3°
Epookki: 2025 DEC 20 00:47:22
orbit plot

Ei-interaktiivinen kuvaaja | Interaktiivinen kuvaaja

position vs time
speed and acceleration

Hagar (HGR) cam1


gnomonic
Videot:
• Gnomoninen
• Gnomoninen koordinaateilla
• Alkuperäinen
• Alkuperäinen koordinaateilla
Kuvat:
• Gnomoninen
• Gnomoninen koordinaateilla
• Alkuperäinen
• Alkuperäinen koordinaateilla
Tekstitiedostot:
• Havaintoraportti
• Observaatio
• Koordinaatit
• Loki
Kirkkaus

Larvik (LAR) cam1


gnomonic
Videot:
• Gnomoninen
• Gnomoninen koordinaateilla
• Alkuperäinen
• Alkuperäinen koordinaateilla
Kuvat:
• Gnomoninen
• Gnomoninen koordinaateilla
• Alkuperäinen
• Alkuperäinen koordinaateilla
Tekstitiedostot:
• Havaintoraportti
• Observaatio
• Koordinaatit
• Loki
Kirkkaus