🇳🇴 🇬🇧 🇩🇪 🇨🇿 🇫🇮

Meteor über Revetal 2025-12-20 00:57:38 UTC

KML-Datei  |  Interaktive Karte

Die Karte zeigt die Peilungen für den Meteor. Die helleren Linien zeigen die Richtungen von den Beobachtungsorten beim Erscheinen des Meteors, und die dunkleren Linien, wo er zuletzt gesehen wurde. Der blaue Pfeil zeigt die sichtbare Bahn des Meteors.

static map
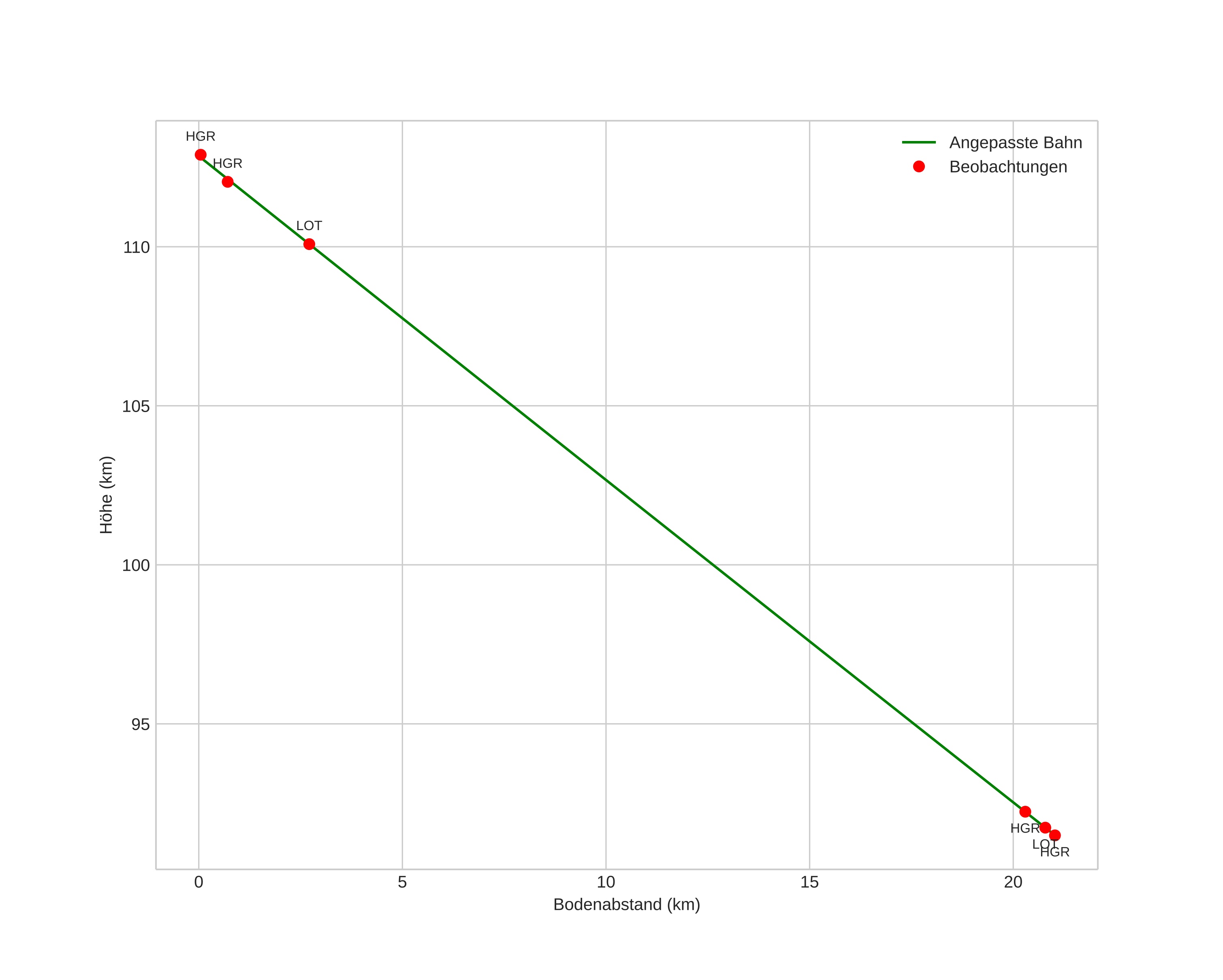
height profile
Atmosphärische Bahn des Meteors:
Anfangshöhe: 112,9 km
Endhöhe: 91,5 km
Startposition: 59,281N 10,563E
Endposition: 59,320N 10,201E
Richtung: 282,2°
Neigungswinkel: 45,5°
Eintrittsgeschwindigkeit: 61,3 km/s
Rektaszension des Radianten: 11:10 (167,7°)
Deklination des Radianten: 32,4°
Meteorstrom: desember-leonis-minoridene
Bahnelemente des Meteoroiden:
Periheldistanz: 0,642 AU
Exzentrizität: 0,772
Inklination: 128,6°
Länge des aufsteigenden Knotens: 268,0°
Argument des Perihels: 258,3°
Mittlere Anomalie: 351,2°
Epoche: 2025 DEC 20 00:57:38
orbit plot

Nicht-interaktives Diagramm | Interaktives Diagramm

position vs time
speed and acceleration

Hagar (HGR) cam4


gnomonic
Videos
• Gnomonisch
• Gnomonisch mit Koordinaten
• Original
• Original mit Koordinaten
Bilder
• Gnomonisch
• Gnomonisch mit Koordinaten
• Original
• Original mit Koordinaten
Textdateien
• Erkennung
• Beobachtung
• Koordinaten
• Protokoll
Helligkeit

Hagar (HGR) cam5


gnomonic
Videos
• Gnomonisch
• Gnomonisch mit Koordinaten
• Original
• Original mit Koordinaten
Bilder
• Gnomonisch
• Gnomonisch mit Koordinaten
• Original
• Original mit Koordinaten
Textdateien
• Erkennung
• Beobachtung
• Koordinaten
• Protokoll
Helligkeit

Loten (LOT) cam4


gnomonic
Videos
• Gnomonisch
• Gnomonisch mit Koordinaten
• Original
• Original mit Koordinaten
Bilder
• Gnomonisch
• Gnomonisch mit Koordinaten
• Original
• Original mit Koordinaten
Textdateien
• Erkennung
• Beobachtung
• Koordinaten
• Protokoll
Helligkeit