🇳🇴 🇬🇧 🇩🇪 🇨🇿 🇫🇮

Meteor über Jaren 2025-12-20 16:40:29 UTC

KML-Datei  |  Interaktive Karte

Die Karte zeigt die Peilungen für den Meteor. Die helleren Linien zeigen die Richtungen von den Beobachtungsorten beim Erscheinen des Meteors, und die dunkleren Linien, wo er zuletzt gesehen wurde. Der blaue Pfeil zeigt die sichtbare Bahn des Meteors.

static map
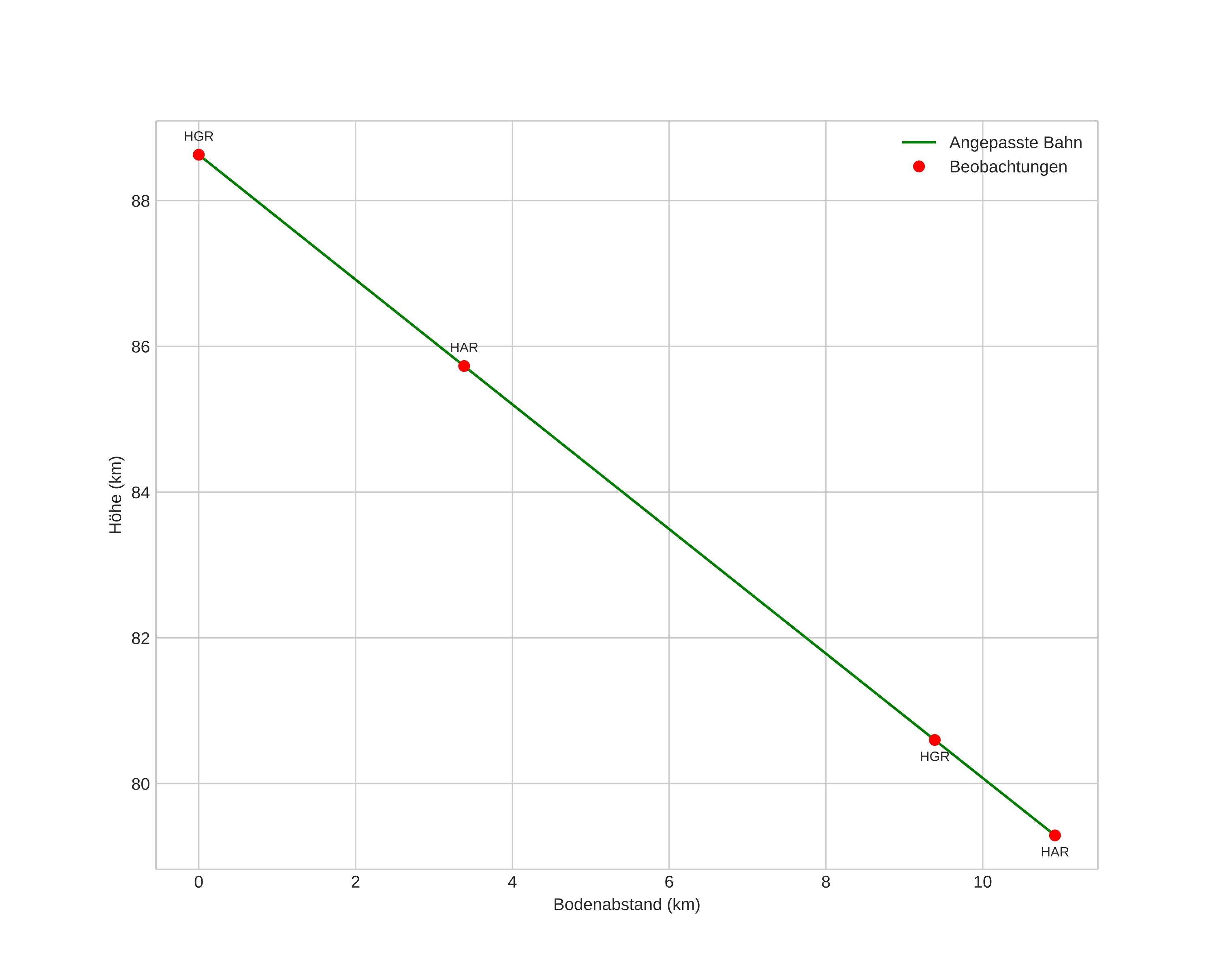
height profile
Atmosphärische Bahn des Meteors:
Anfangshöhe: 88,6 km
Endhöhe: 79,3 km
Startposition: 60,487N 10,680E
Endposition: 60,476N 10,482E
Richtung: 263,3°
Neigungswinkel: 40,4°
Eintrittsgeschwindigkeit: 17,4 km/s
Rektaszension des Radianten: 04:27 (66,8°)
Deklination des Radianten: 32,2°
Meteorstrom: sporadisch
Bahnelemente des Meteoroiden:
Periheldistanz: 0,825 AU
Exzentrizität: 0,571
Inklination: 3,9°
Länge des aufsteigenden Knotens: 268,6°
Argument des Perihels: 236,2°
Mittlere Anomalie: 345,8°
Epoche: 2025 DEC 20 16:40:29
orbit plot

Nicht-interaktives Diagramm | Interaktives Diagramm

position vs time
speed and acceleration

Hagar (HGR) cam6


gnomonic
Videos
• Gnomonisch
• Gnomonisch mit Koordinaten
• Original
• Original mit Koordinaten
Bilder
• Gnomonisch
• Gnomonisch mit Koordinaten
• Original
• Original mit Koordinaten
Textdateien
• Erkennung
• Beobachtung
• Koordinaten
• Protokoll
Helligkeit

Harestua (HAR) cam6


gnomonic
Videos
• Gnomonisch
• Gnomonisch mit Koordinaten
• Original
• Original mit Koordinaten
Bilder
• Gnomonisch
• Gnomonisch mit Koordinaten
• Original
• Original mit Koordinaten
Textdateien
• Erkennung
• Beobachtung
• Koordinaten
• Protokoll
Helligkeit