🇳🇴 🇬🇧 🇩🇪 🇨🇿 🇫🇮

Meteor Innbygdan yllä 2025-12-20 20:39:07 UTC

KML-tiedosto  |  Interaktiivinen kartta

Kartta näyttää meteorin suuntahavainnot. Vaaleammat viivat näyttävät suunnat havaintoasemilta meteorin ilmestyessä, ja tummemmat viivat näyttävät, missä se viimeksi nähtiin. Sininen nuoli näyttää meteorin näkyvän lennon.

static map
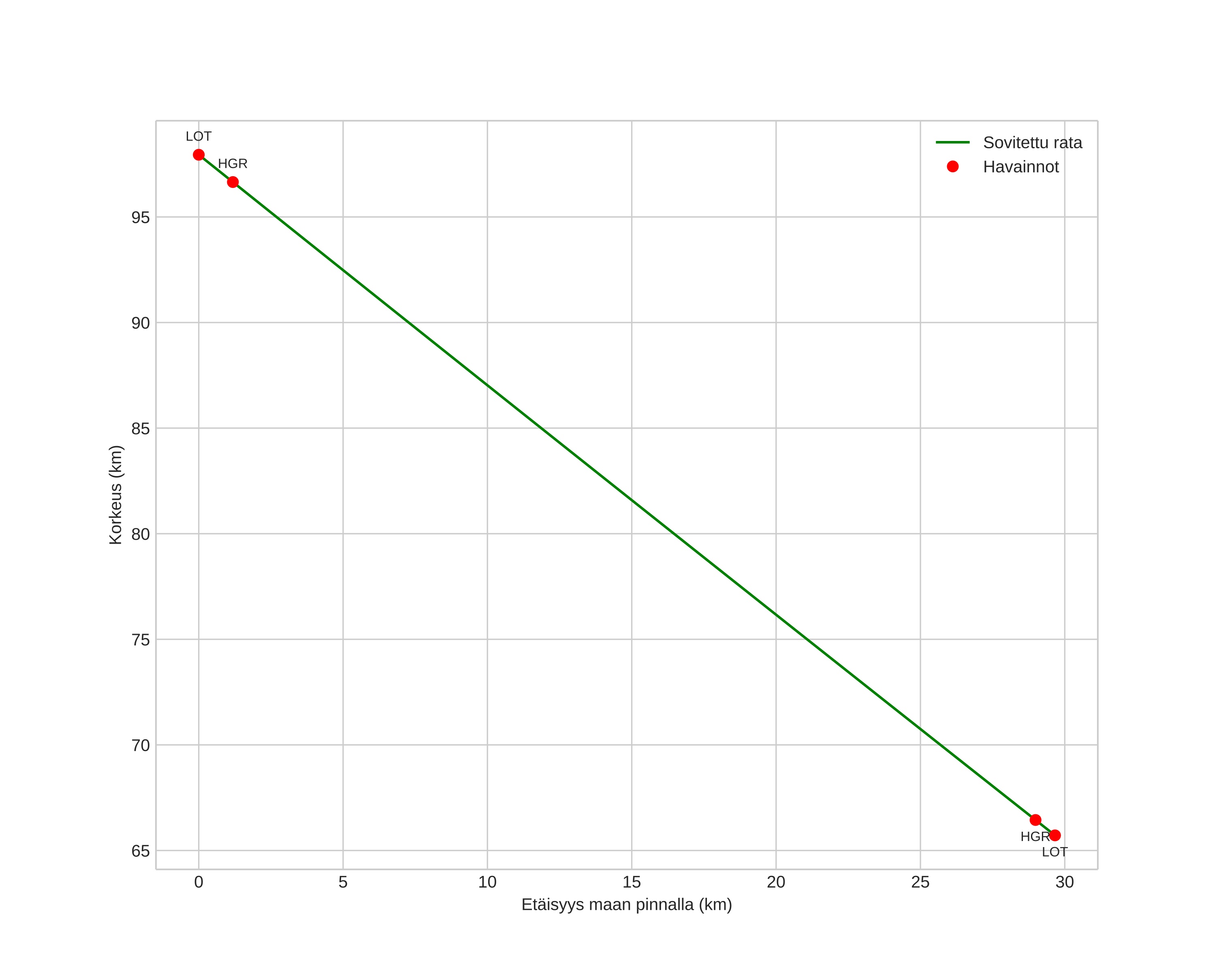
height profile
Meteorin ilmakehärata:
Alkukorkeus: 97,9 km
Loppukorkeus: 65,7 km
Alkupiste: 60,994N 12,996E
Loppupiste: 61,129N 12,520E
Suunta: 300,6°
Kallistuskulma: 47,3°
Tulonopeus: 27,6 km/s
Radiantin R,A,: 06:16 (94,1°)
Radiantin Dekl,: 26,8°
Meteoriparvi: Sporadinen
Meteoroidin rataelementit:
Perihelietäisyys: 0,485 AU
Eksentrisyys: 0,794
Inklinaatio: 3,0°
Nousevan solmun pituus: 268,8°
Perihelin argumentti: 278,5°
Keskianomalia: 348,1°
Epookki: 2025 DEC 20 20:39:07
orbit plot

Ei-interaktiivinen kuvaaja | Interaktiivinen kuvaaja

position vs time
speed and acceleration

Hagar (HGR) cam3


gnomonic
Videot:
• Gnomoninen
• Gnomoninen koordinaateilla
• Alkuperäinen
• Alkuperäinen koordinaateilla
Kuvat:
• Gnomoninen
• Gnomoninen koordinaateilla
• Alkuperäinen
• Alkuperäinen koordinaateilla
Tekstitiedostot:
• Havaintoraportti
• Observaatio
• Koordinaatit
• Loki
Kirkkaus

Loten (LOT) cam2


gnomonic
Videot:
• Gnomoninen
• Gnomoninen koordinaateilla
• Alkuperäinen
• Alkuperäinen koordinaateilla
Kuvat:
• Gnomoninen
• Gnomoninen koordinaateilla
• Alkuperäinen
• Alkuperäinen koordinaateilla
Tekstitiedostot:
• Havaintoraportti
• Observaatio
• Koordinaatit
• Loki
Kirkkaus