🇳🇴 🇬🇧 🇩🇪 🇨🇿 🇫🇮

Meteor über Steinsdalen 2025-12-21 00:07:54 UTC

KML-Datei  |  Interaktive Karte

Die Karte zeigt die Peilungen für den Meteor. Die helleren Linien zeigen die Richtungen von den Beobachtungsorten beim Erscheinen des Meteors, und die dunkleren Linien, wo er zuletzt gesehen wurde. Der blaue Pfeil zeigt die sichtbare Bahn des Meteors.

static map
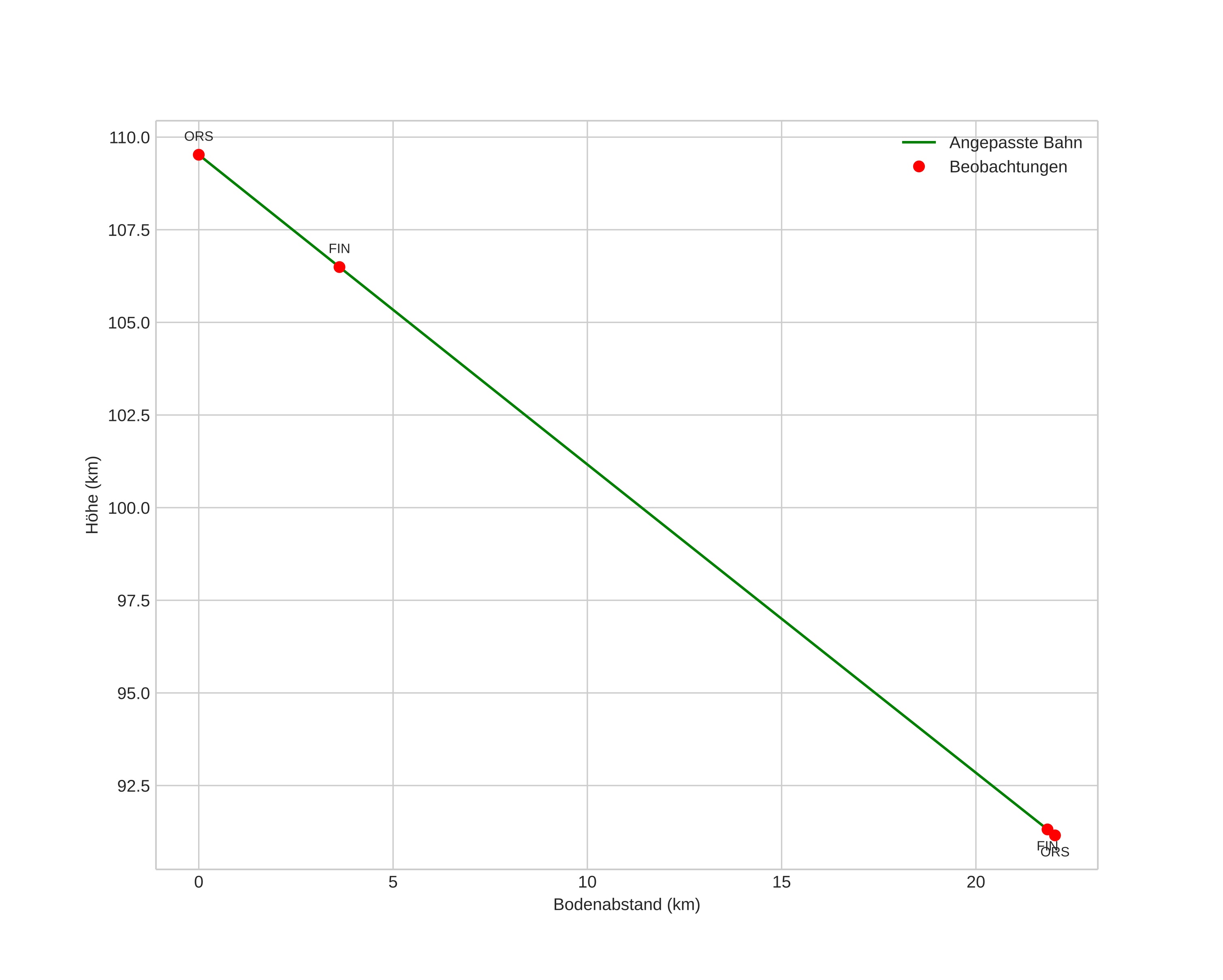
height profile
Atmosphärische Bahn des Meteors:
Anfangshöhe: 109,5 km
Endhöhe: 91,2 km
Startposition: 64,974N 10,280E
Endposition: 65,006N 9,818E
Richtung: 279,5°
Neigungswinkel: 39,7°
Eintrittsgeschwindigkeit: 67,9 km/s
Rektaszension des Radianten: 10:58 (164,7°)
Deklination des Radianten: 31,5°
Meteorstrom: desember-leonis-minoridene
Bahnelemente des Meteoroiden:
Periheldistanz: 0,659 AU
Exzentrizität: 1,168
Inklination: 133,9°
Länge des aufsteigenden Knotens: 269,0°
Argument des Perihels: 247,2°
Mittlere Anomalie: -4,2°
Epoche: 2025 DEC 21 00:07:54
orbit plot

Nicht-interaktives Diagramm | Interaktives Diagramm

position vs time
speed and acceleration

Finnskogen (FIN) cam1


gnomonic
Videos
• Gnomonisch
• Gnomonisch mit Koordinaten
• Original
• Original mit Koordinaten
Bilder
• Gnomonisch
• Gnomonisch mit Koordinaten
• Original
• Original mit Koordinaten
Textdateien
• Erkennung
• Beobachtung
• Koordinaten
• Protokoll
Helligkeit

Orsta (ORS) cam5


gnomonic
Videos
• Gnomonisch
• Gnomonisch mit Koordinaten
• Original
• Original mit Koordinaten
Bilder
• Gnomonisch
• Gnomonisch mit Koordinaten
• Original
• Original mit Koordinaten
Textdateien
• Erkennung
• Beobachtung
• Koordinaten
• Protokoll
Helligkeit