🇳🇴 🇬🇧 🇩🇪 🇨🇿 🇫🇮

Meteor Åren yllä 2025-12-21 01:45:51 UTC

KML-tiedosto  |  Interaktiivinen kartta

Kartta näyttää meteorin suuntahavainnot. Vaaleammat viivat näyttävät suunnat havaintoasemilta meteorin ilmestyessä, ja tummemmat viivat näyttävät, missä se viimeksi nähtiin. Sininen nuoli näyttää meteorin näkyvän lennon.

static map
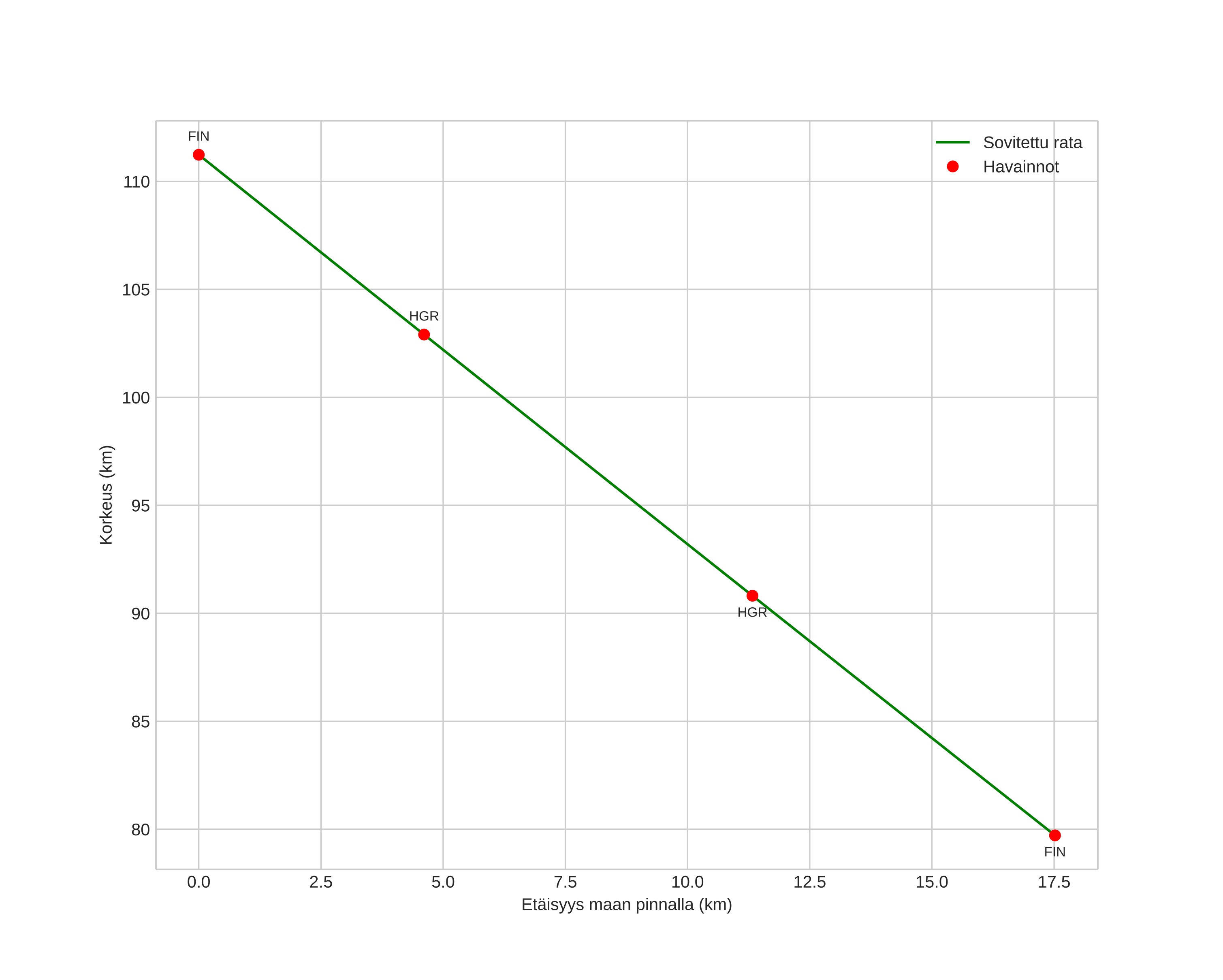
height profile
Meteorin ilmakehärata:
Alkukorkeus: 111,2 km
Loppukorkeus: 79,7 km
Alkupiste: 63,165N 13,114E
Loppupiste: 63,255N 12,827E
Suunta: 305,0°
Kallistuskulma: 60,9°
Tulonopeus: 60,5 km/s
Radiantin R,A,: 10:42 (160,6°)
Radiantin Dekl,: 40,7°
Meteoriparvi: Sporadinen
Meteoroidin rataelementit:
Perihelietäisyys: 0,557 AU
Eksentrisyys: 1,031
Inklinaatio: 113,1°
Nousevan solmun pituus: 269,1°
Perihelin argumentti: 261,6°
Keskianomalia: -0,5°
Epookki: 2025 DEC 21 01:45:51
orbit plot

Ei-interaktiivinen kuvaaja | Interaktiivinen kuvaaja

position vs time
speed and acceleration

Finnskogen (FIN) cam1


gnomonic
Videot:
• Gnomoninen
• Gnomoninen koordinaateilla
• Alkuperäinen
• Alkuperäinen koordinaateilla
Kuvat:
• Gnomoninen
• Gnomoninen koordinaateilla
• Alkuperäinen
• Alkuperäinen koordinaateilla
Tekstitiedostot:
• Havaintoraportti
• Observaatio
• Koordinaatit
• Loki
Kirkkaus

Hagar (HGR) cam2


gnomonic
Videot:
• Gnomoninen
• Gnomoninen koordinaateilla
• Alkuperäinen
• Alkuperäinen koordinaateilla
Kuvat:
• Gnomoninen
• Gnomoninen koordinaateilla
• Alkuperäinen
• Alkuperäinen koordinaateilla
Tekstitiedostot:
• Havaintoraportti
• Observaatio
• Koordinaatit
• Loki
Kirkkaus