🇳🇴 🇬🇧 🇩🇪 🇨🇿 🇫🇮

Meteor Lindåsin yllä 2025-12-21 06:25:39 UTC

KML-tiedosto  |  Interaktiivinen kartta

Kartta näyttää meteorin suuntahavainnot. Vaaleammat viivat näyttävät suunnat havaintoasemilta meteorin ilmestyessä, ja tummemmat viivat näyttävät, missä se viimeksi nähtiin. Sininen nuoli näyttää meteorin näkyvän lennon.

static map
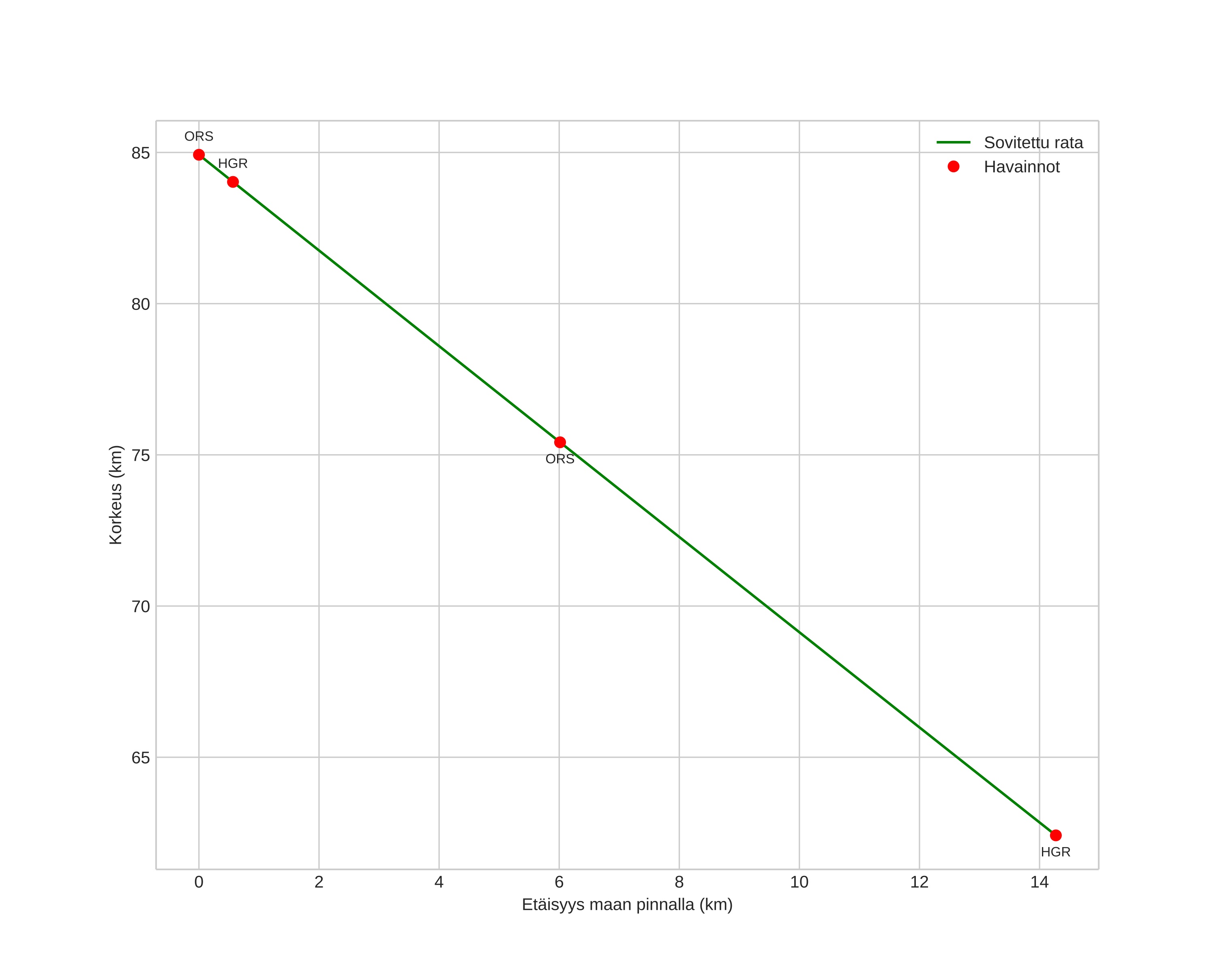
height profile
Meteorin ilmakehärata:
Alkukorkeus: 84,9 km
Loppukorkeus: 62,4 km
Alkupiste: 60,899N 5,197E
Loppupiste: 60,774N 5,140E
Suunta: 192,6°
Kallistuskulma: 57,6°
Tulonopeus: 25,0 km/s
Radiantin R,A,: 21:02 (315,7°)
Radiantin Dekl,: 82,1°
Meteoriparvi: Sporadinen
Meteoroidin rataelementit:
Perihelietäisyys: 0,947 AU
Eksentrisyys: 0,728
Inklinaatio: 33,2°
Nousevan solmun pituus: 269,3°
Perihelin argumentti: 204,4°
Keskianomalia: 357,3°
Epookki: 2025 DEC 21 06:25:39
orbit plot

Ei-interaktiivinen kuvaaja | Interaktiivinen kuvaaja

position vs time
speed and acceleration

Hagar (HGR) cam1


gnomonic
Videot:
• Gnomoninen
• Gnomoninen koordinaateilla
• Alkuperäinen
• Alkuperäinen koordinaateilla
Kuvat:
• Gnomoninen
• Gnomoninen koordinaateilla
• Alkuperäinen
• Alkuperäinen koordinaateilla
Tekstitiedostot:
• Havaintoraportti
• Observaatio
• Koordinaatit
• Loki
Kirkkaus

Orsta (ORS) cam7


gnomonic
Videot:
• Gnomoninen
• Gnomoninen koordinaateilla
• Alkuperäinen
• Alkuperäinen koordinaateilla
Kuvat:
• Gnomoninen
• Gnomoninen koordinaateilla
• Alkuperäinen
• Alkuperäinen koordinaateilla
Tekstitiedostot:
• Havaintoraportti
• Observaatio
• Koordinaatit
• Loki
Kirkkaus