🇳🇴 🇬🇧 🇩🇪 🇨🇿 🇫🇮

Meteor Innbygdan yllä 2025-12-21 16:36:59 UTC

KML-tiedosto  |  Interaktiivinen kartta

Kartta näyttää meteorin suuntahavainnot. Vaaleammat viivat näyttävät suunnat havaintoasemilta meteorin ilmestyessä, ja tummemmat viivat näyttävät, missä se viimeksi nähtiin. Sininen nuoli näyttää meteorin näkyvän lennon.

static map
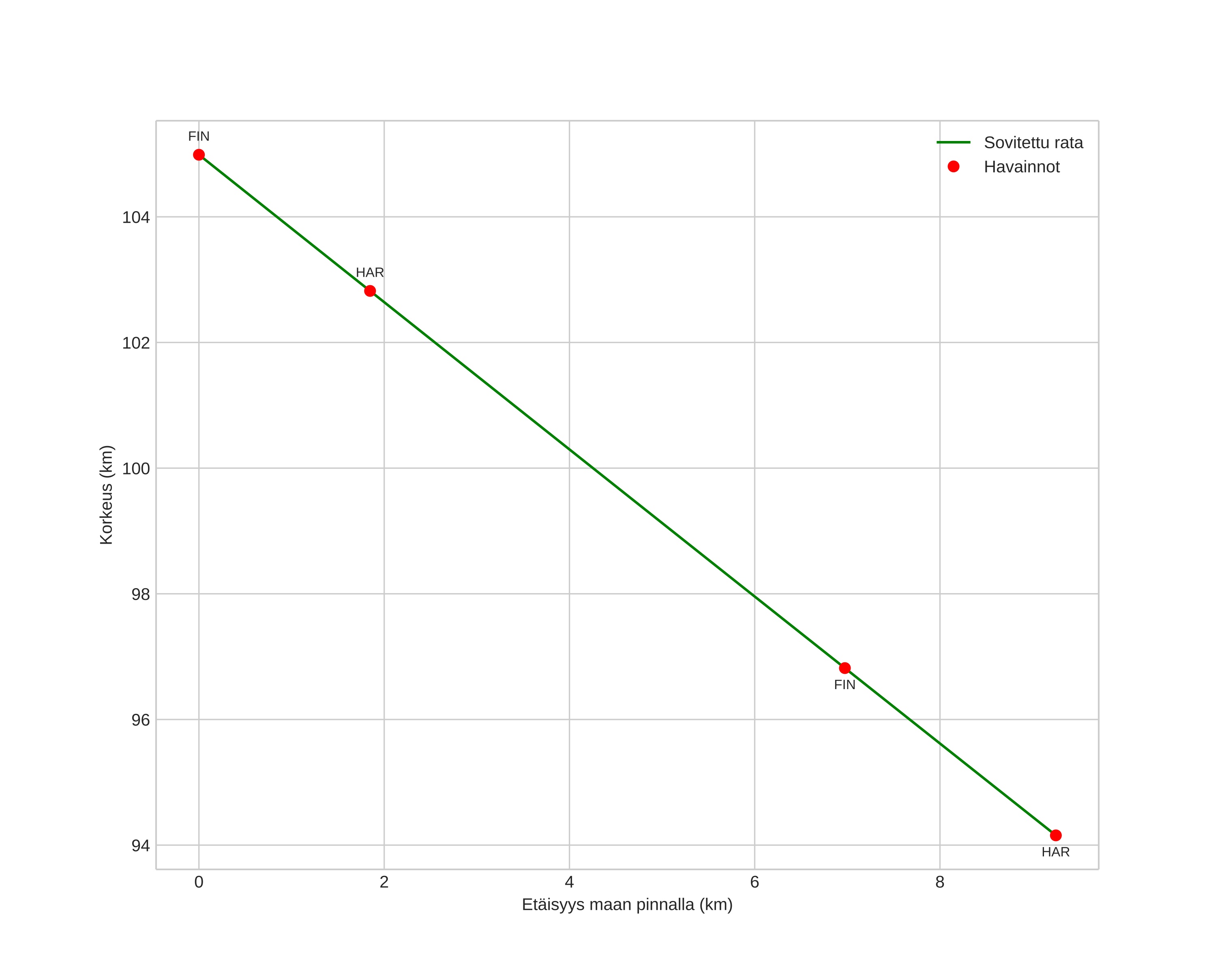
height profile
Meteorin ilmakehärata:
Alkukorkeus: 105,0 km
Loppukorkeus: 94,2 km
Alkupiste: 61,832N 13,076E
Loppupiste: 61,759N 13,160E
Suunta: 151,6°
Kallistuskulma: 49,4°
Tulonopeus: 29,3 km/s
Radiantin R,A,: 15:41 (235,3°)
Radiantin Dekl,: 68,5°
Meteoriparvi: Ursidit
Meteoroidin rataelementit:
Perihelietäisyys: 0,976 AU
Eksentrisyys: 0,459
Inklinaatio: 47,1°
Nousevan solmun pituus: 269,7°
Perihelin argumentti: 193,3°
Keskianomalia: 355,6°
Epookki: 2025 DEC 21 16:36:59
orbit plot

Ei-interaktiivinen kuvaaja | Interaktiivinen kuvaaja

position vs time
speed and acceleration

Finnskogen (FIN) cam6


gnomonic
Videot:
• Gnomoninen
• Gnomoninen koordinaateilla
• Alkuperäinen
• Alkuperäinen koordinaateilla
Kuvat:
• Gnomoninen
• Gnomoninen koordinaateilla
• Alkuperäinen
• Alkuperäinen koordinaateilla
Tekstitiedostot:
• Havaintoraportti
• Observaatio
• Koordinaatit
• Loki
Kirkkaus

Harestua (HAR) cam1


gnomonic
Videot:
• Gnomoninen
• Gnomoninen koordinaateilla
• Alkuperäinen
• Alkuperäinen koordinaateilla
Kuvat:
• Gnomoninen
• Gnomoninen koordinaateilla
• Alkuperäinen
• Alkuperäinen koordinaateilla
Tekstitiedostot:
• Havaintoraportti
• Observaatio
• Koordinaatit
• Loki
Kirkkaus