🇳🇴 🇬🇧 🇩🇪 🇨🇿 🇫🇮

Meteor over Vansbro 2025-12-22 01:49:41 UTC

KML-fil  |  Interaktivt kart

Kartet viser peilingene for meteoren. De lysere linjene viser retningene fra observasjonsstedene for meteorens tilsynekomst, og de mørkere linjene viser hvor den sist kunne sees. Den blå pila viser meteorens synlige ferd.

static map
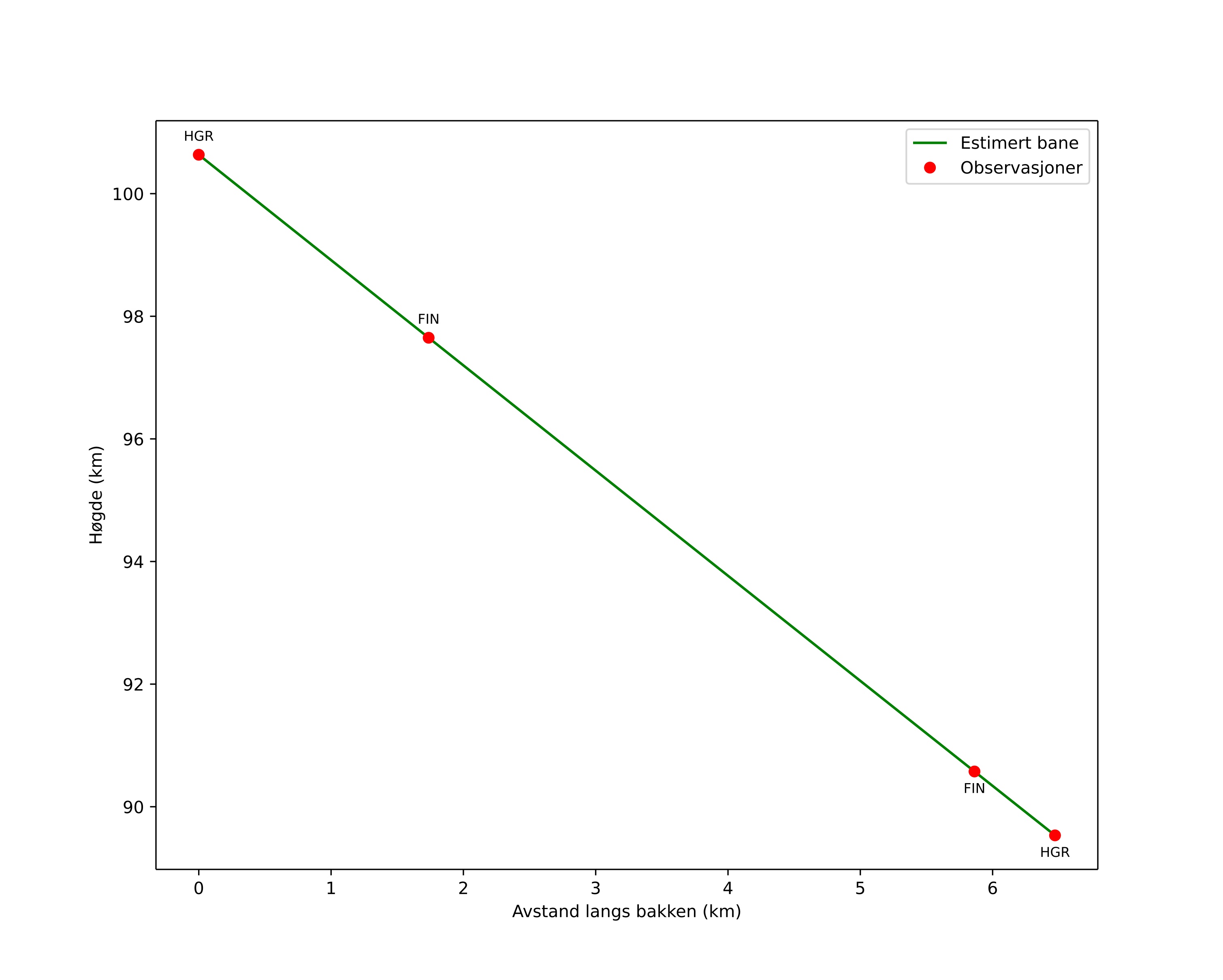
height profile
Meteorens atmosfæriske bane:
Starthøgde: 100,6 km
Slutthøgde: 89,5 km
Startposisjon: 60,891N 14,147E
Sluttposisjon: 60,840N 14,090E
Retning: 208,1°
Fallvinkel: 59,8°
Inngangshastighet: 35,3 km/s
Radiantens rektascensjon: 14:28 (217,2°)
Radiantens deklinasjon: 76,3°
Meteorsverm: Ursidene
Meteoroidens baneelement:
Perihelavstand: 0,935 AU
Eksentrisitet: 0,846
Inklinasjon: 52,9°
Knutelengde: 270,1°
Perihelargument: 206,9°
Midlere anomali: 358,8°
Epoke: 2025 DEC 22 01:49:41
orbit plot

Ikke-interaktivt plott | Interaktivt plott

position vs time
speed and acceleration

Finnskogen (FIN) cam7


gnomonic
Videoer
• Gnomonisk
• Gnomonisk med koordinater
• Original
• Original med koordinater
Bilder
• Gnomonisk
• Gnomonisk med koordinater
• Original
• Original med koordinater
Tekstfiler
• Deteksjon
• Observasjon
• Koordinater
• Logg
Lysstyrke

Hagar (HGR) cam3


gnomonic
Videoer
• Gnomonisk
• Gnomonisk med koordinater
• Original
• Original med koordinater
Bilder
• Gnomonisk
• Gnomonisk med koordinater
• Original
• Original med koordinater
Tekstfiler
• Deteksjon
• Observasjon
• Koordinater
• Logg
Lysstyrke