🇳🇴 🇬🇧 🇩🇪 🇨🇿 🇫🇮

Meteor over Mora 2025-12-22 03:54:19 UTC

KML-fil  |  Interaktivt kart

Kartet viser peilingene for meteoren. De lysere linjene viser retningene fra observasjonsstedene for meteorens tilsynekomst, og de mørkere linjene viser hvor den sist kunne sees. Den blå pila viser meteorens synlige ferd.

static map
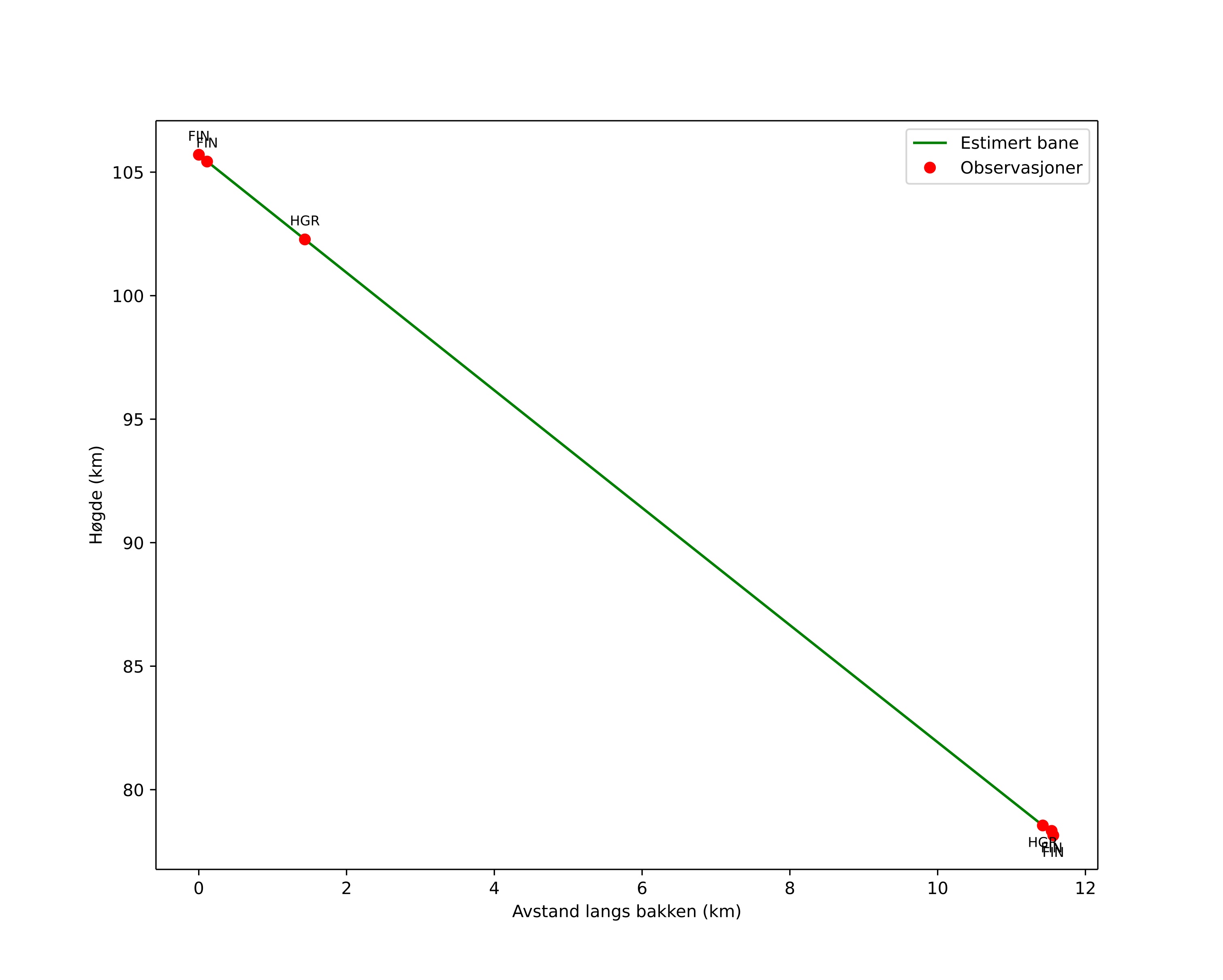
height profile
Meteorens atmosfæriske bane:
Starthøgde: 105,7 km
Slutthøgde: 78,2 km
Startposisjon: 60,991N 14,664E
Sluttposisjon: 60,904N 14,546E
Retning: 213,3°
Fallvinkel: 67,2°
Inngangshastighet: 36,4 km/s
Radiantens rektascensjon: 14:30 (217,6°)
Radiantens deklinasjon: 74,8°
Meteorsverm: Ursidene
Meteoroidens baneelement:
Perihelavstand: 0,940 AU
Eksentrisitet: 0,875
Inklinasjon: 54,9°
Knutelengde: 270,2°
Perihelargument: 205,2°
Midlere anomali: 359,2°
Epoke: 2025 DEC 22 03:54:19
orbit plot

Ikke-interaktivt plott | Interaktivt plott

position vs time
speed and acceleration

Finnskogen (FIN) cam2


gnomonic
Videoer
• Gnomonisk
• Gnomonisk med koordinater
• Original
• Original med koordinater
Bilder
• Gnomonisk
• Gnomonisk med koordinater
• Original
• Original med koordinater
Tekstfiler
• Deteksjon
• Observasjon
• Koordinater
• Logg
Lysstyrke

Finnskogen (FIN) cam3


gnomonic
Videoer
• Gnomonisk
• Gnomonisk med koordinater
• Original
• Original med koordinater
Bilder
• Gnomonisk
• Gnomonisk med koordinater
• Original
• Original med koordinater
Tekstfiler
• Deteksjon
• Observasjon
• Koordinater
• Logg
Lysstyrke

Hagar (HGR) cam3


gnomonic
Videoer
• Gnomonisk
• Gnomonisk med koordinater
• Original
• Original med koordinater
Bilder
• Gnomonisk
• Gnomonisk med koordinater
• Original
• Original med koordinater
Tekstfiler
• Deteksjon
• Observasjon
• Koordinater
• Logg
Lysstyrke