🇳🇴 🇬🇧 🇩🇪 🇨🇿 🇫🇮

Meteor over Bjørkelangen 2025-12-22 05:23:59 UTC

KML-fil  |  Interaktivt kart

Kartet viser peilingene for meteoren. De lysere linjene viser retningene fra observasjonsstedene for meteorens tilsynekomst, og de mørkere linjene viser hvor den sist kunne sees. Den blå pila viser meteorens synlige ferd.

static map
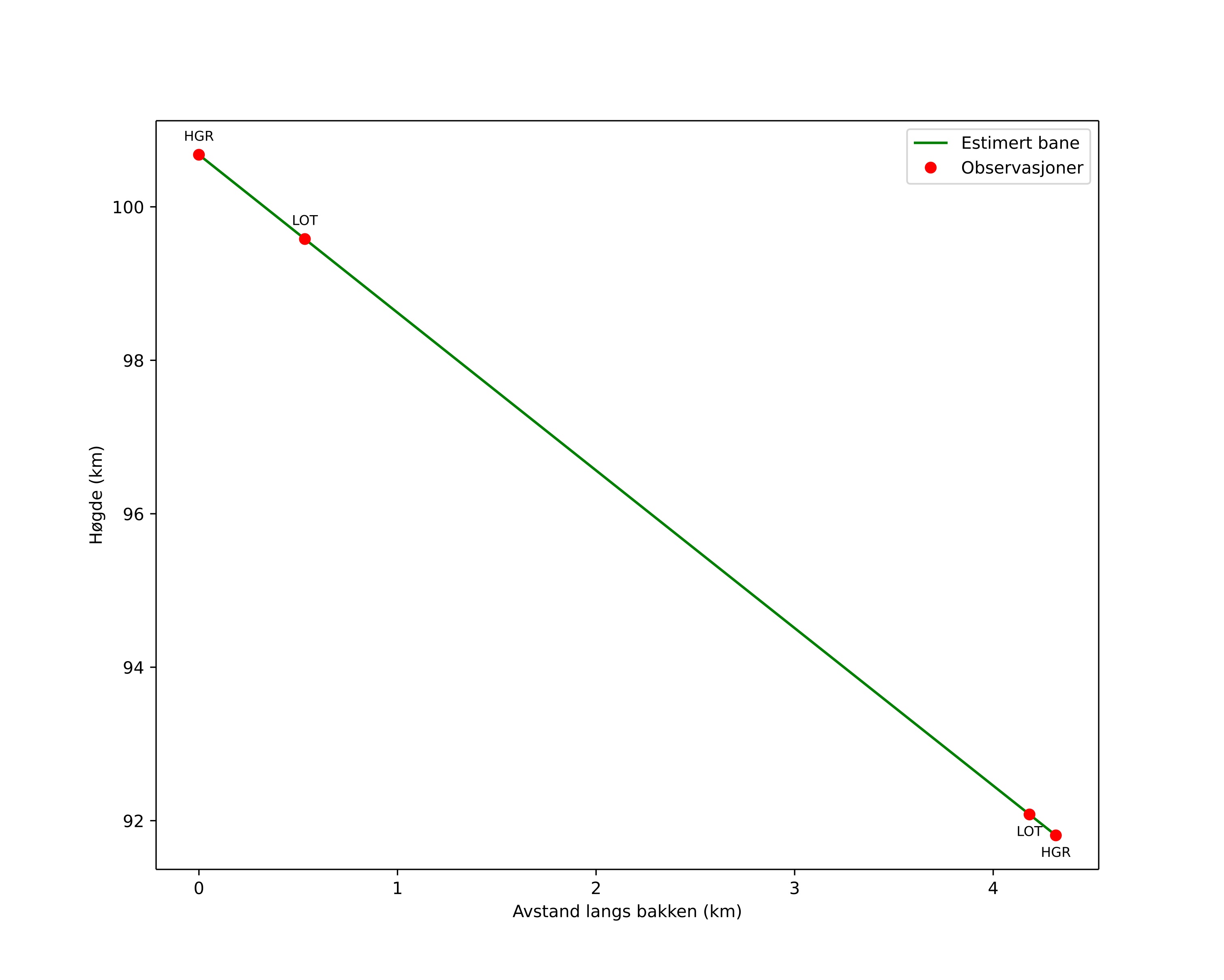
height profile
Meteorens atmosfæriske bane:
Starthøgde: 100,7 km
Slutthøgde: 91,8 km
Startposisjon: 59,809N 11,528E
Sluttposisjon: 59,773N 11,504E
Retning: 198,0°
Fallvinkel: 64,1°
Inngangshastighet: 35,0 km/s
Radiantens rektascensjon: 16:04 (241,2°)
Radiantens deklinasjon: 81,1°
Meteorsverm: Ursidene
Meteoroidens baneelement:
Perihelavstand: 0,942 AU
Eksentrisitet: 1,073
Inklinasjon: 48,8°
Knutelengde: 270,2°
Perihelargument: 203,3°
Midlere anomali: -0,3°
Epoke: 2025 DEC 22 05:23:59
orbit plot

Ikke-interaktivt plott | Interaktivt plott

position vs time
speed and acceleration

Hagar (HGR) cam6


gnomonic
Videoer
• Gnomonisk
• Gnomonisk med koordinater
• Original
• Original med koordinater
Bilder
• Gnomonisk
• Gnomonisk med koordinater
• Original
• Original med koordinater
Tekstfiler
• Deteksjon
• Observasjon
• Koordinater
• Logg
Lysstyrke

Loten (LOT) cam3


gnomonic
Videoer
• Gnomonisk
• Gnomonisk med koordinater
• Original
• Original med koordinater
Bilder
• Gnomonisk
• Gnomonisk med koordinater
• Original
• Original med koordinater
Tekstfiler
• Deteksjon
• Observasjon
• Koordinater
• Logg
Lysstyrke