🇳🇴 🇬🇧 🇩🇪 🇨🇿 🇫🇮

Meteor über Bjørkelangen 2025-12-22 05:23:59 UTC

KML-Datei  |  Interaktive Karte

Die Karte zeigt die Peilungen für den Meteor. Die helleren Linien zeigen die Richtungen von den Beobachtungsorten beim Erscheinen des Meteors, und die dunkleren Linien, wo er zuletzt gesehen wurde. Der blaue Pfeil zeigt die sichtbare Bahn des Meteors.

static map
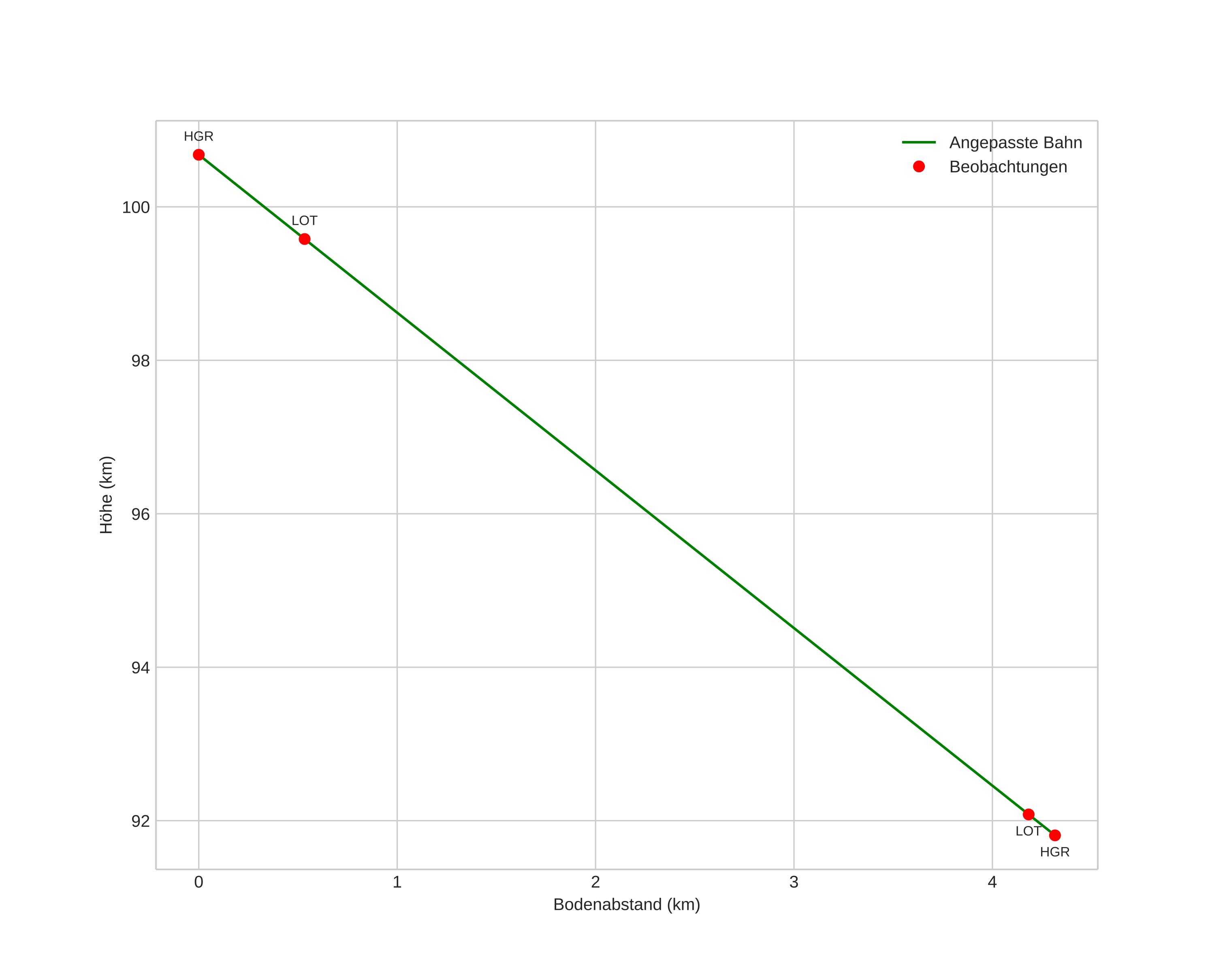
height profile
Atmosphärische Bahn des Meteors:
Anfangshöhe: 100,7 km
Endhöhe: 91,8 km
Startposition: 59,809N 11,528E
Endposition: 59,773N 11,504E
Richtung: 198,0°
Neigungswinkel: 64,1°
Eintrittsgeschwindigkeit: 35,0 km/s
Rektaszension des Radianten: 16:04 (241,2°)
Deklination des Radianten: 81,1°
Meteorstrom: Ursiden
Bahnelemente des Meteoroiden:
Periheldistanz: 0,942 AU
Exzentrizität: 1,073
Inklination: 48,8°
Länge des aufsteigenden Knotens: 270,2°
Argument des Perihels: 203,3°
Mittlere Anomalie: -0,3°
Epoche: 2025 DEC 22 05:23:59
orbit plot

Nicht-interaktives Diagramm | Interaktives Diagramm

position vs time
speed and acceleration

Hagar (HGR) cam6


gnomonic
Videos
• Gnomonisch
• Gnomonisch mit Koordinaten
• Original
• Original mit Koordinaten
Bilder
• Gnomonisch
• Gnomonisch mit Koordinaten
• Original
• Original mit Koordinaten
Textdateien
• Erkennung
• Beobachtung
• Koordinaten
• Protokoll
Helligkeit

Loten (LOT) cam3


gnomonic
Videos
• Gnomonisch
• Gnomonisch mit Koordinaten
• Original
• Original mit Koordinaten
Bilder
• Gnomonisch
• Gnomonisch mit Koordinaten
• Original
• Original mit Koordinaten
Textdateien
• Erkennung
• Beobachtung
• Koordinaten
• Protokoll
Helligkeit