🇳🇴 🇬🇧 🇩🇪 🇨🇿 🇫🇮

Meteor over Koppang 2025-12-23 01:55:59 UTC

KML-fil  |  Interaktivt kart

Kartet viser peilingene for meteoren. De lysere linjene viser retningene fra observasjonsstedene for meteorens tilsynekomst, og de mørkere linjene viser hvor den sist kunne sees. Den blå pila viser meteorens synlige ferd.

static map
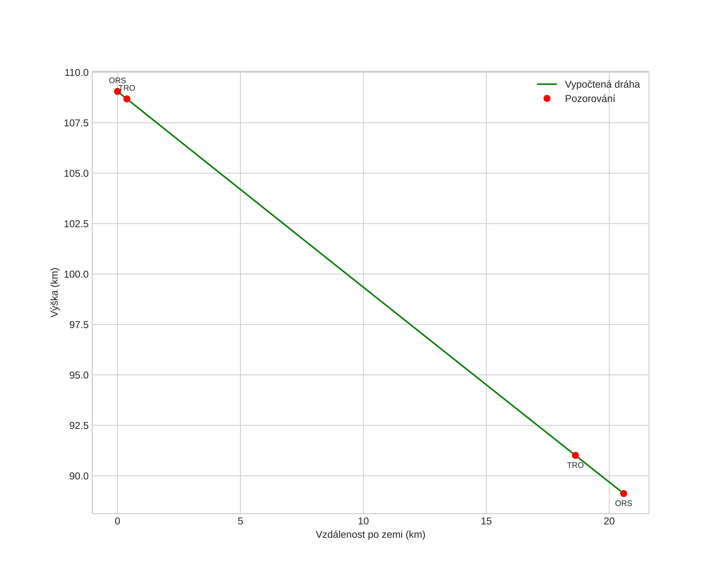
height profile
Meteorens atmosfæriske bane:
Starthøgde: 109,1 km
Slutthøgde: 89,1 km
Startposisjon: 61,666N 11,079E
Sluttposisjon: 61,750N 10,731E
Retning: 297,1°
Fallvinkel: 44,2°
Inngangshastighet: 68,9 km/s
Radiantens rektascensjon: 11:49 (177,4°)
Radiantens deklinasjon: 27,1°
Meteorsverm: sporadisk
Meteoroidens baneelement:
Perihelavstand: 0,854 AU
Eksentrisitet: 1,085
Inklinasjon: 137,5°
Knutelengde: 271,1°
Perihelargument: 221,7°
Midlere anomali: -0,8°
Epoke: 2025 DEC 23 01:55:59
orbit plot

Ikke-interaktivt plott | Interaktivt plott

position vs time
speed and acceleration

Orsta (ORS) cam2


gnomonic
Videoer
• Gnomonisk
• Gnomonisk med koordinater
• Original
• Original med koordinater
Bilder
• Gnomonisk
• Gnomonisk med koordinater
• Original
• Original med koordinater
Tekstfiler
• Deteksjon
• Observasjon
• Koordinater
• Logg
Lysstyrke

Trondheim (TRO) cam3


gnomonic
Videoer
• Gnomonisk
• Gnomonisk med koordinater
• Original
• Original med koordinater
Bilder
• Gnomonisk
• Gnomonisk med koordinater
• Original
• Original med koordinater
Tekstfiler
• Deteksjon
• Observasjon
• Koordinater
• Logg
Lysstyrke