🇳🇴 🇬🇧 🇩🇪 🇨🇿 🇫🇮

Meteor Koppangin yllä 2025-12-23 01:55:59 UTC

KML-tiedosto  |  Interaktiivinen kartta

Kartta näyttää meteorin suuntahavainnot. Vaaleammat viivat näyttävät suunnat havaintoasemilta meteorin ilmestyessä, ja tummemmat viivat näyttävät, missä se viimeksi nähtiin. Sininen nuoli näyttää meteorin näkyvän lennon.

static map
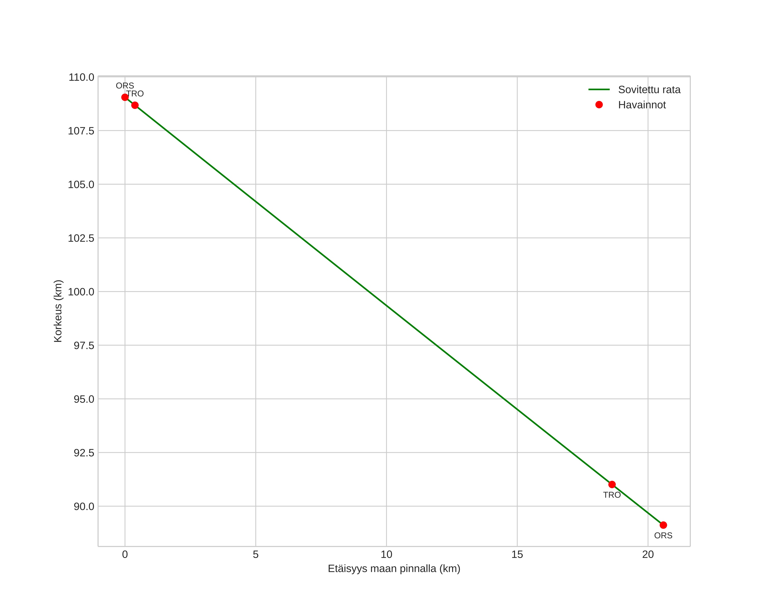
height profile
Meteorin ilmakehärata:
Alkukorkeus: 109,1 km
Loppukorkeus: 89,1 km
Alkupiste: 61,666N 11,079E
Loppupiste: 61,750N 10,731E
Suunta: 297,1°
Kallistuskulma: 44,2°
Tulonopeus: 68,9 km/s
Radiantin R,A,: 11:49 (177,4°)
Radiantin Dekl,: 27,1°
Meteoriparvi: Sporadinen
Meteoroidin rataelementit:
Perihelietäisyys: 0,854 AU
Eksentrisyys: 1,085
Inklinaatio: 137,5°
Nousevan solmun pituus: 271,1°
Perihelin argumentti: 221,7°
Keskianomalia: -0,8°
Epookki: 2025 DEC 23 01:55:59
orbit plot

Ei-interaktiivinen kuvaaja | Interaktiivinen kuvaaja

position vs time
speed and acceleration

Orsta (ORS) cam2


gnomonic
Videot:
• Gnomoninen
• Gnomoninen koordinaateilla
• Alkuperäinen
• Alkuperäinen koordinaateilla
Kuvat:
• Gnomoninen
• Gnomoninen koordinaateilla
• Alkuperäinen
• Alkuperäinen koordinaateilla
Tekstitiedostot:
• Havaintoraportti
• Observaatio
• Koordinaatit
• Loki
Kirkkaus

Trondheim (TRO) cam3


gnomonic
Videot:
• Gnomoninen
• Gnomoninen koordinaateilla
• Alkuperäinen
• Alkuperäinen koordinaateilla
Kuvat:
• Gnomoninen
• Gnomoninen koordinaateilla
• Alkuperäinen
• Alkuperäinen koordinaateilla
Tekstitiedostot:
• Havaintoraportti
• Observaatio
• Koordinaatit
• Loki
Kirkkaus