🇳🇴 🇬🇧 🇩🇪 🇨🇿 🇫🇮

Meteor over Finnsnes 2025-12-24 00:01:37 UTC

KML-fil  |  Interaktivt kart

Kartet viser peilingene for meteoren. De lysere linjene viser retningene fra observasjonsstedene for meteorens tilsynekomst, og de mørkere linjene viser hvor den sist kunne sees. Den blå pila viser meteorens synlige ferd.

static map
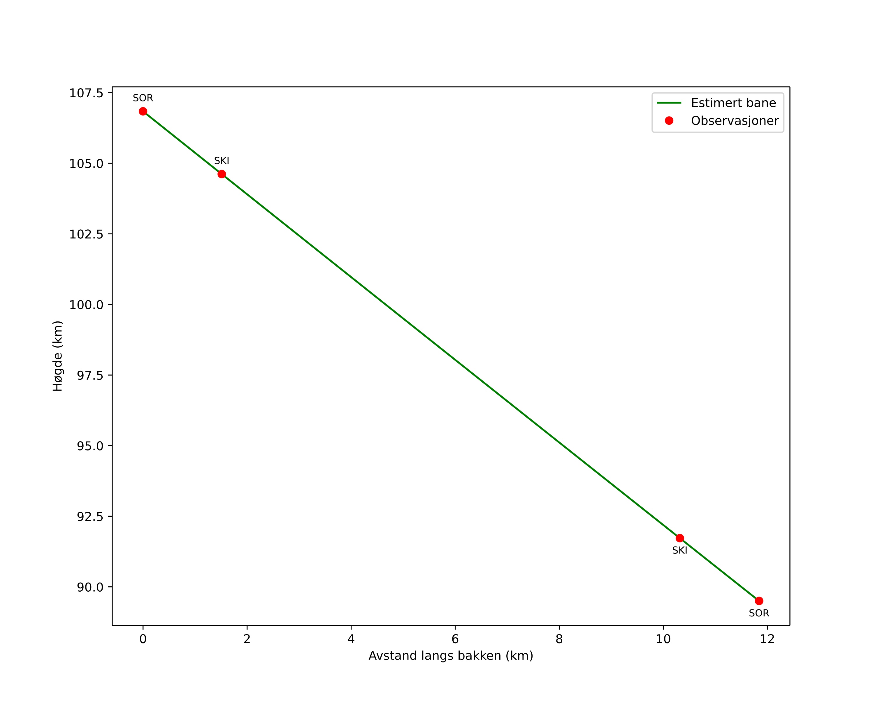
height profile
Meteorens atmosfæriske bane:
Starthøgde: 106,8 km
Slutthøgde: 89,5 km
Startposisjon: 71,308N 17,714E
Sluttposisjon: 71,258N 17,420E
Retning: 242,5°
Fallvinkel: 55,6°
Inngangshastighet: 50,0 km/s
Radiantens rektascensjon: 13:15 (198,9°)
Radiantens deklinasjon: 59,8°
Meteorsverm: sporadisk
Meteoroidens baneelement:
Perihelavstand: 0,931 AU
Eksentrisitet: 1,105
Inklinasjon: 79,8°
Knutelengde: 272,1°
Perihelargument: 206,2°
Midlere anomali: -0,6°
Epoke: 2025 DEC 24 00:01:37
orbit plot

Ikke-interaktivt plott | Interaktivt plott

position vs time
speed and acceleration

Skibotn (SKI) cam1


gnomonic
Videoer
• Gnomonisk
• Gnomonisk med koordinater
• Original
• Original med koordinater
Bilder
• Gnomonisk
• Gnomonisk med koordinater
• Original
• Original med koordinater
Tekstfiler
• Deteksjon
• Observasjon
• Koordinater
• Logg
Lysstyrke

Sorreisa (SOR) cam1


gnomonic
Videoer
• Gnomonisk
• Gnomonisk med koordinater
• Original
• Original med koordinater
Bilder
• Gnomonisk
• Gnomonisk med koordinater
• Original
• Original med koordinater
Tekstfiler
• Deteksjon
• Observasjon
• Koordinater
• Logg
Lysstyrke