🇳🇴 🇬🇧 🇩🇪 🇨🇿 🇫🇮

Meteor over Kirkenær 2025-12-24 02:22:10 UTC

KML-fil  |  Interaktivt kart

Kartet viser peilingene for meteoren. De lysere linjene viser retningene fra observasjonsstedene for meteorens tilsynekomst, og de mørkere linjene viser hvor den sist kunne sees. Den blå pila viser meteorens synlige ferd.

static map
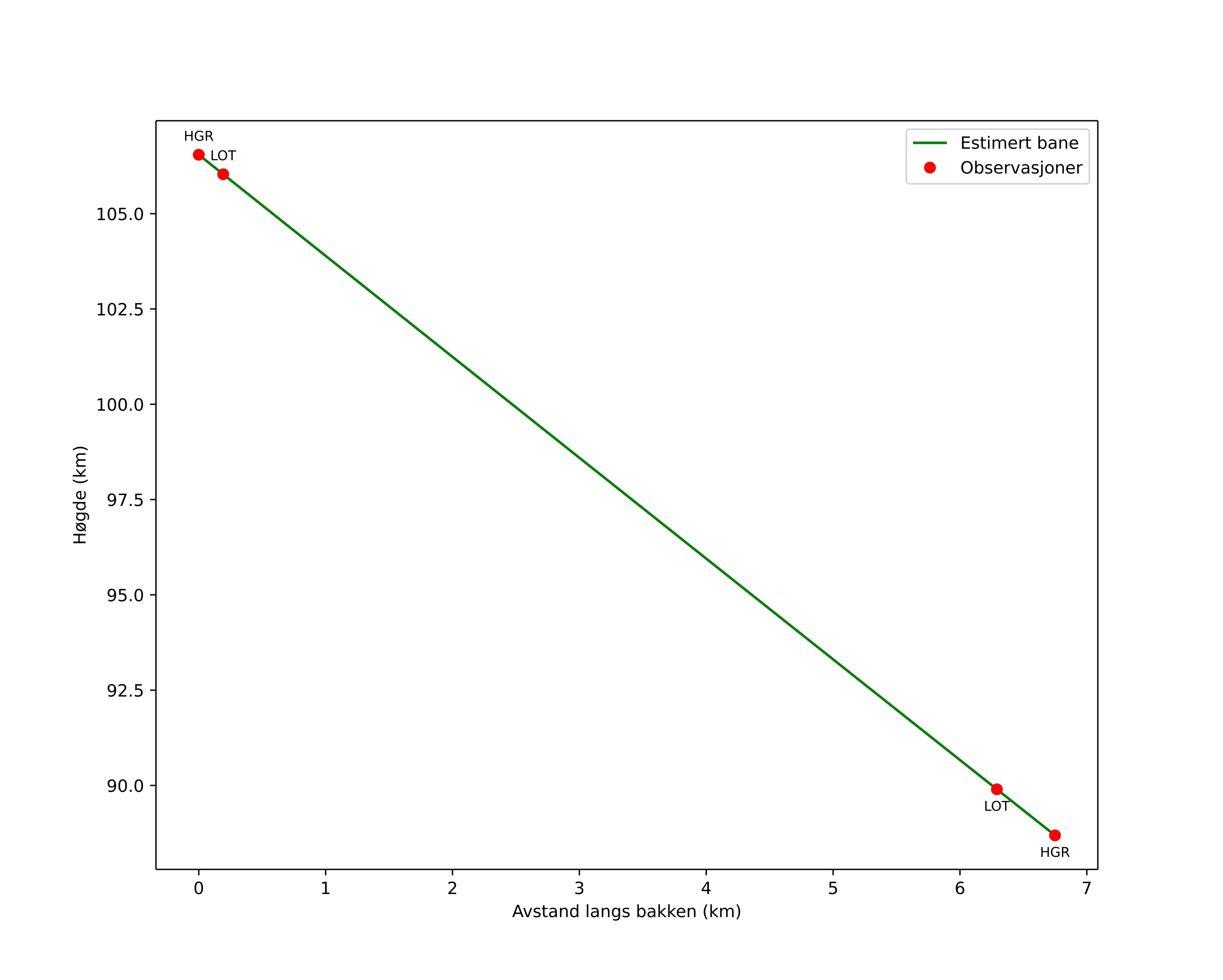
height profile
Meteorens atmosfæriske bane:
Starthøgde: 106,5 km
Slutthøgde: 88,7 km
Startposisjon: 60,282N 12,604E
Sluttposisjon: 60,304N 12,490E
Retning: 291,1°
Fallvinkel: 69,2°
Inngangshastighet: 56,5 km/s
Radiantens rektascensjon: 11:21 (170,3°)
Radiantens deklinasjon: 48,4°
Meteorsverm: sporadisk
Meteoroidens baneelement:
Perihelavstand: 0,691 AU
Eksentrisitet: 1,030
Inklinasjon: 98,0°
Knutelengde: 272,2°
Perihelargument: 245,5°
Midlere anomali: -0,3°
Epoke: 2025 DEC 24 02:22:10
orbit plot

Ikke-interaktivt plott | Interaktivt plott

position vs time
speed and acceleration

Hagar (HGR) cam3


gnomonic
Videoer
• Gnomonisk
• Gnomonisk med koordinater
• Original
• Original med koordinater
Bilder
• Gnomonisk
• Gnomonisk med koordinater
• Original
• Original med koordinater
Tekstfiler
• Deteksjon
• Observasjon
• Koordinater
• Logg
Lysstyrke

Loten (LOT) cam7


gnomonic
Videoer
• Gnomonisk
• Gnomonisk med koordinater
• Original
• Original med koordinater
Bilder
• Gnomonisk
• Gnomonisk med koordinater
• Original
• Original med koordinater
Tekstfiler
• Deteksjon
• Observasjon
• Koordinater
• Logg
Lysstyrke