🇳🇴 🇬🇧 🇩🇪 🇨🇿 🇫🇮

Meteor over Grua 2025-12-24 03:29:50 UTC

KML-fil  |  Interaktivt kart

Kartet viser peilingene for meteoren. De lysere linjene viser retningene fra observasjonsstedene for meteorens tilsynekomst, og de mørkere linjene viser hvor den sist kunne sees. Den blå pila viser meteorens synlige ferd.

static map
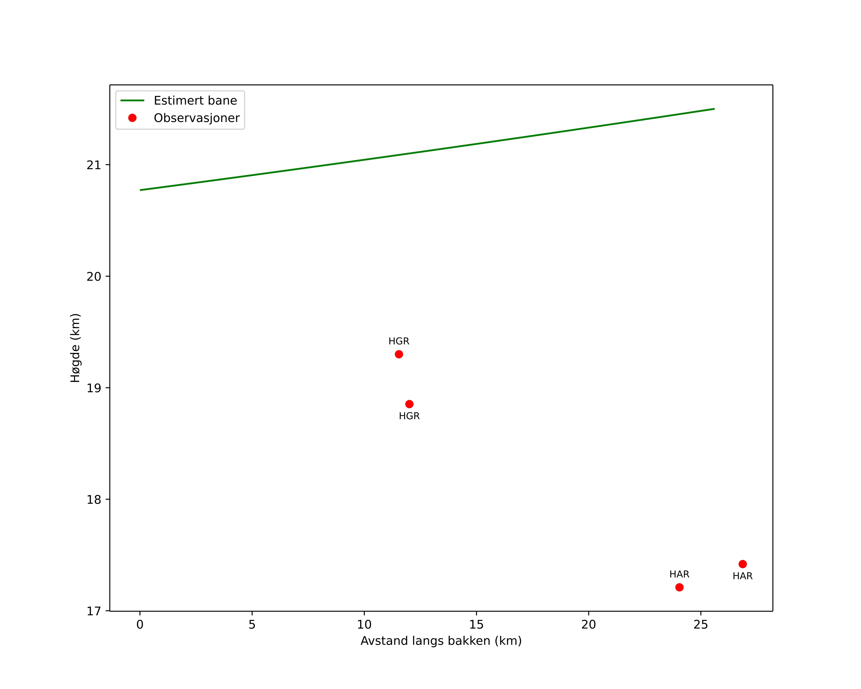
height profile
wind profile
Meteorens atmosfæriske bane:
Starthøgde: 20,8 km
Slutthøgde: 21,5 km
Startposisjon: 60,646N 10,731E
Sluttposisjon: 60,416N 10,757E
Retning: 176,8°
Fallvinkel: -1,6°
Inngangshastighet: 17,3 km/s
Radiantens rektascensjon: 22:38 (339,5°)
Radiantens deklinasjon: 12,0°
Meteorsverm: sporadisk
Meteoroidens baneelement:
Perihelavstand: 0,977 AU
Eksentrisitet: 1,017
Inklinasjon: 5,8°
Knutelengde: 272,2°
Perihelargument: 170,9°
Midlere anomali: 0,0°
Epoke: 2025 DEC 24 03:29:50
orbit plot

Ikke-interaktivt plott | Interaktivt plott

position vs time
speed and acceleration

Hagar (HGR) cam7


gnomonic
Videoer
• Gnomonisk
• Gnomonisk med koordinater
• Original
• Original med koordinater
Bilder
• Gnomonisk
• Gnomonisk med koordinater
• Original
• Original med koordinater
Tekstfiler
• Deteksjon
• Observasjon
• Koordinater
• Logg
Lysstyrke

Harestua (HAR) cam6


gnomonic
Videoer
• Gnomonisk
• Gnomonisk med koordinater
• Original
• Original med koordinater
Bilder
• Gnomonisk
• Gnomonisk med koordinater
• Original
• Original med koordinater
Tekstfiler
• Deteksjon
• Observasjon
• Koordinater
• Logg
Lysstyrke