🇳🇴 🇬🇧 🇩🇪 🇨🇿 🇫🇮

Meteor Eckeröin yllä 2025-12-24 03:53:55 UTC

KML-tiedosto  |  Interaktiivinen kartta

Kartta näyttää meteorin suuntahavainnot. Vaaleammat viivat näyttävät suunnat havaintoasemilta meteorin ilmestyessä, ja tummemmat viivat näyttävät, missä se viimeksi nähtiin. Sininen nuoli näyttää meteorin näkyvän lennon.

static map
height profile
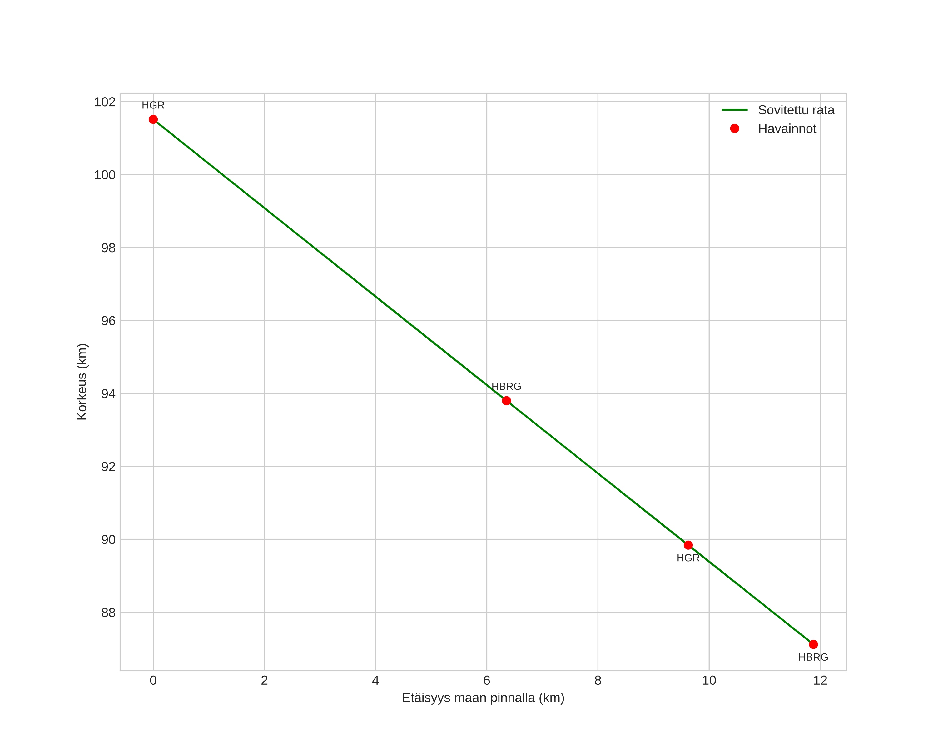
Meteorin ilmakehärata:
Alkukorkeus: 101,5 km
Loppukorkeus: 87,1 km
Alkupiste: 60,802N 19,558E
Loppupiste: 60,808N 19,340E
Suunta: 273,3°
Kallistuskulma: 50,5°
Tulonopeus: 56,2 km/s
Radiantin R,A,: 15:11 (228,0°)
Radiantin Dekl,: 40,8°
Meteoriparvi: Sporadinen
Meteoroidin rataelementit:
Perihelietäisyys: 0,921 AU
Eksentrisyys: 1,424
Inklinaatio: 87,6°
Nousevan solmun pituus: 272,2°
Perihelin argumentti: 153,0°
Keskianomalia: 5,0°
Epookki: 2025 DEC 24 03:53:55
orbit plot

Ei-interaktiivinen kuvaaja | Interaktiivinen kuvaaja

position vs time
speed and acceleration

Hagar (HGR) cam3


gnomonic
Videot:
• Gnomoninen
• Gnomoninen koordinaateilla
• Alkuperäinen
• Alkuperäinen koordinaateilla
Kuvat:
• Gnomoninen
• Gnomoninen koordinaateilla
• Alkuperäinen
• Alkuperäinen koordinaateilla
Tekstitiedostot:
• Havaintoraportti
• Observaatio
• Koordinaatit
• Loki
Kirkkaus