🇳🇴 🇬🇧 🇩🇪 🇨🇿 🇫🇮

Meteor over Alsike 2025-12-24 05:03:17 UTC

KML-fil  |  Interaktivt kart

Kartet viser peilingene for meteoren. De lysere linjene viser retningene fra observasjonsstedene for meteorens tilsynekomst, og de mørkere linjene viser hvor den sist kunne sees. Den blå pila viser meteorens synlige ferd.

static map
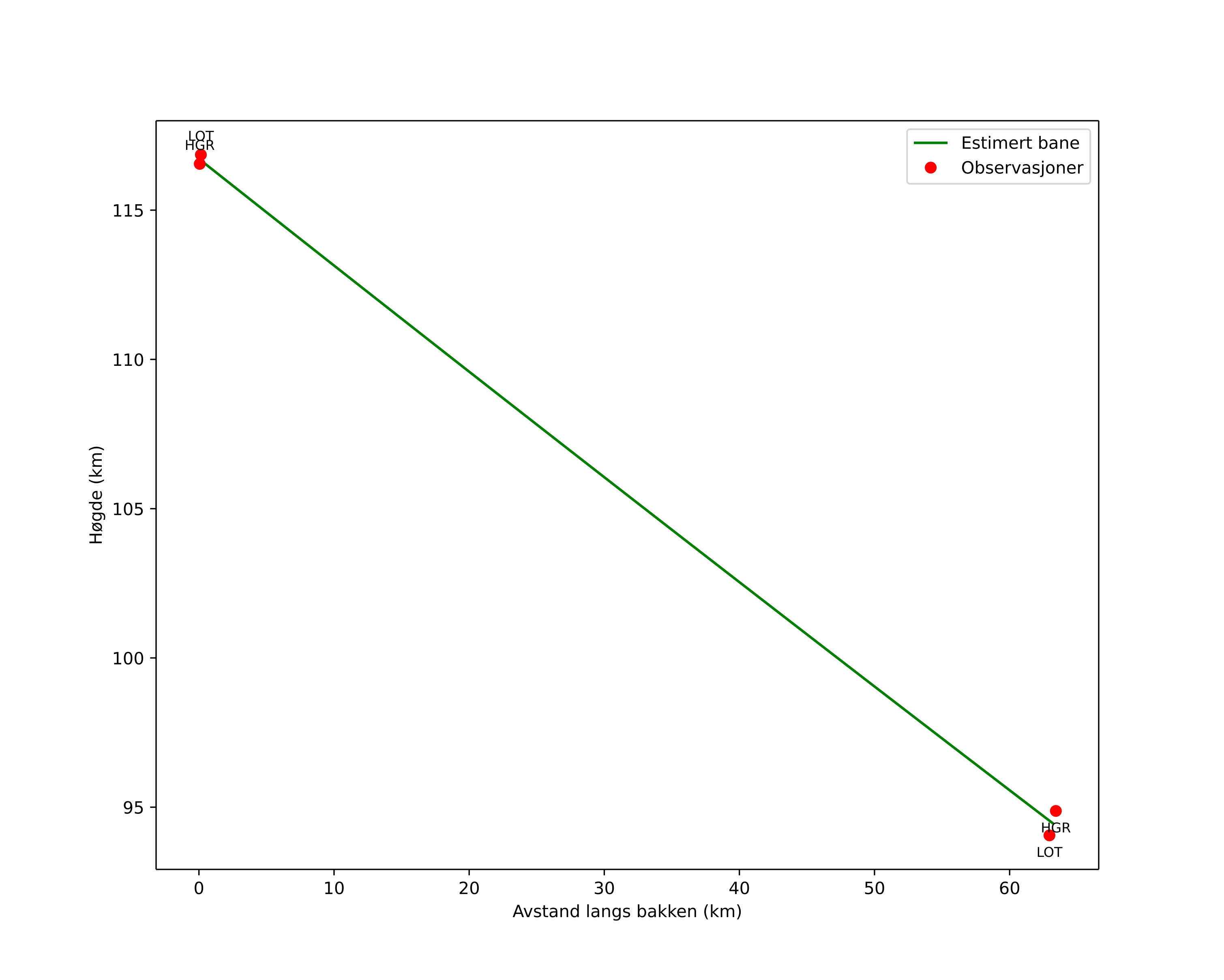
height profile
Meteorens atmosfæriske bane:
Starthøgde: 116,7 km
Slutthøgde: 94,4 km
Startposisjon: 59,293N 18,218E
Sluttposisjon: 59,820N 17,792E
Retning: 337,9°
Fallvinkel: 19,4°
Inngangshastighet: 84,6 km/s
Radiantens rektascensjon: 13:50 (207,6°)
Radiantens deklinasjon: -9,5°
Meteorsverm: sporadisk
Meteoroidens baneelement:
Perihelavstand: 0,675 AU
Eksentrisitet: 2,213
Inklinasjon: 176,7°
Knutelengde: 272,3°
Perihelargument: 123,0°
Midlere anomali: 55,5°
Epoke: 2025 DEC 24 05:03:17
orbit plot

Ikke-interaktivt plott | Interaktivt plott

position vs time
speed and acceleration

Hagar (HGR) cam4


gnomonic
Videoer
• Gnomonisk
• Gnomonisk med koordinater
• Original
• Original med koordinater
Bilder
• Gnomonisk
• Gnomonisk med koordinater
• Original
• Original med koordinater
Tekstfiler
• Deteksjon
• Observasjon
• Koordinater
• Logg
Lysstyrke

Loten (LOT) cam3


gnomonic
Videoer
• Gnomonisk
• Gnomonisk med koordinater
• Original
• Original med koordinater
Bilder
• Gnomonisk
• Gnomonisk med koordinater
• Original
• Original med koordinater
Tekstfiler
• Deteksjon
• Observasjon
• Koordinater
• Logg
Lysstyrke