🇳🇴 🇬🇧 🇩🇪 🇨🇿 🇫🇮

Meteor over Jondal 2025-12-24 06:05:25 UTC

KML-fil  |  Interaktivt kart

Kartet viser peilingene for meteoren. De lysere linjene viser retningene fra observasjonsstedene for meteorens tilsynekomst, og de mørkere linjene viser hvor den sist kunne sees. Den blå pila viser meteorens synlige ferd.

static map
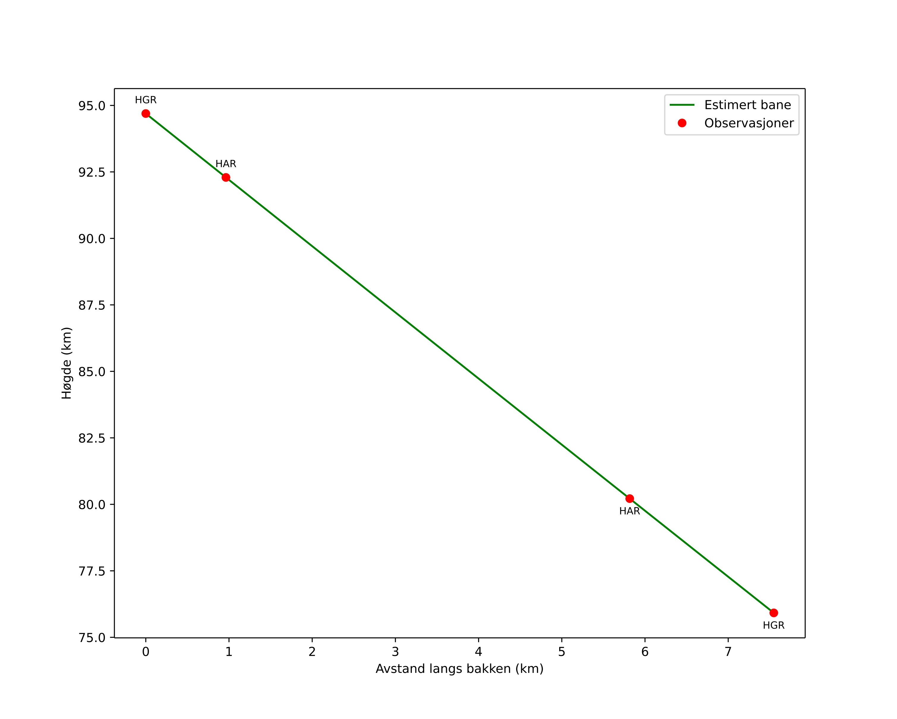
height profile
Meteorens atmosfæriske bane:
Starthøgde: 94,7 km
Slutthøgde: 75,9 km
Startposisjon: 60,280N 6,328E
Sluttposisjon: 60,236N 6,224E
Retning: 229,6°
Fallvinkel: 68,1°
Inngangshastighet: 35,1 km/s
Radiantens rektascensjon: 15:59 (239,8°)
Radiantens deklinasjon: 68,0°
Meteorsverm: Ursidene
Meteoroidens baneelement:
Perihelavstand: 0,979 AU
Eksentrisitet: 0,825
Inklinasjon: 53,4°
Knutelengde: 272,3°
Perihelargument: 188,5°
Midlere anomali: 359,5°
Epoke: 2025 DEC 24 06:05:25
orbit plot

Ikke-interaktivt plott | Interaktivt plott

position vs time
speed and acceleration

Hagar (HGR) cam1


gnomonic
Videoer
• Gnomonisk
• Gnomonisk med koordinater
• Original
• Original med koordinater
Bilder
• Gnomonisk
• Gnomonisk med koordinater
• Original
• Original med koordinater
Tekstfiler
• Deteksjon
• Observasjon
• Koordinater
• Logg
Lysstyrke

Harestua (HAR) cam5


gnomonic
Videoer
• Gnomonisk
• Gnomonisk med koordinater
• Original
• Original med koordinater
Bilder
• Gnomonisk
• Gnomonisk med koordinater
• Original
• Original med koordinater
Tekstfiler
• Deteksjon
• Observasjon
• Koordinater
• Logg
Lysstyrke