🇳🇴 🇬🇧 🇩🇪 🇨🇿 🇫🇮

Meteor Sykkylvenin yllä 2025-12-24 06:14:29 UTC

KML-tiedosto  |  Interaktiivinen kartta

Kartta näyttää meteorin suuntahavainnot. Vaaleammat viivat näyttävät suunnat havaintoasemilta meteorin ilmestyessä, ja tummemmat viivat näyttävät, missä se viimeksi nähtiin. Sininen nuoli näyttää meteorin näkyvän lennon.

static map
height profile
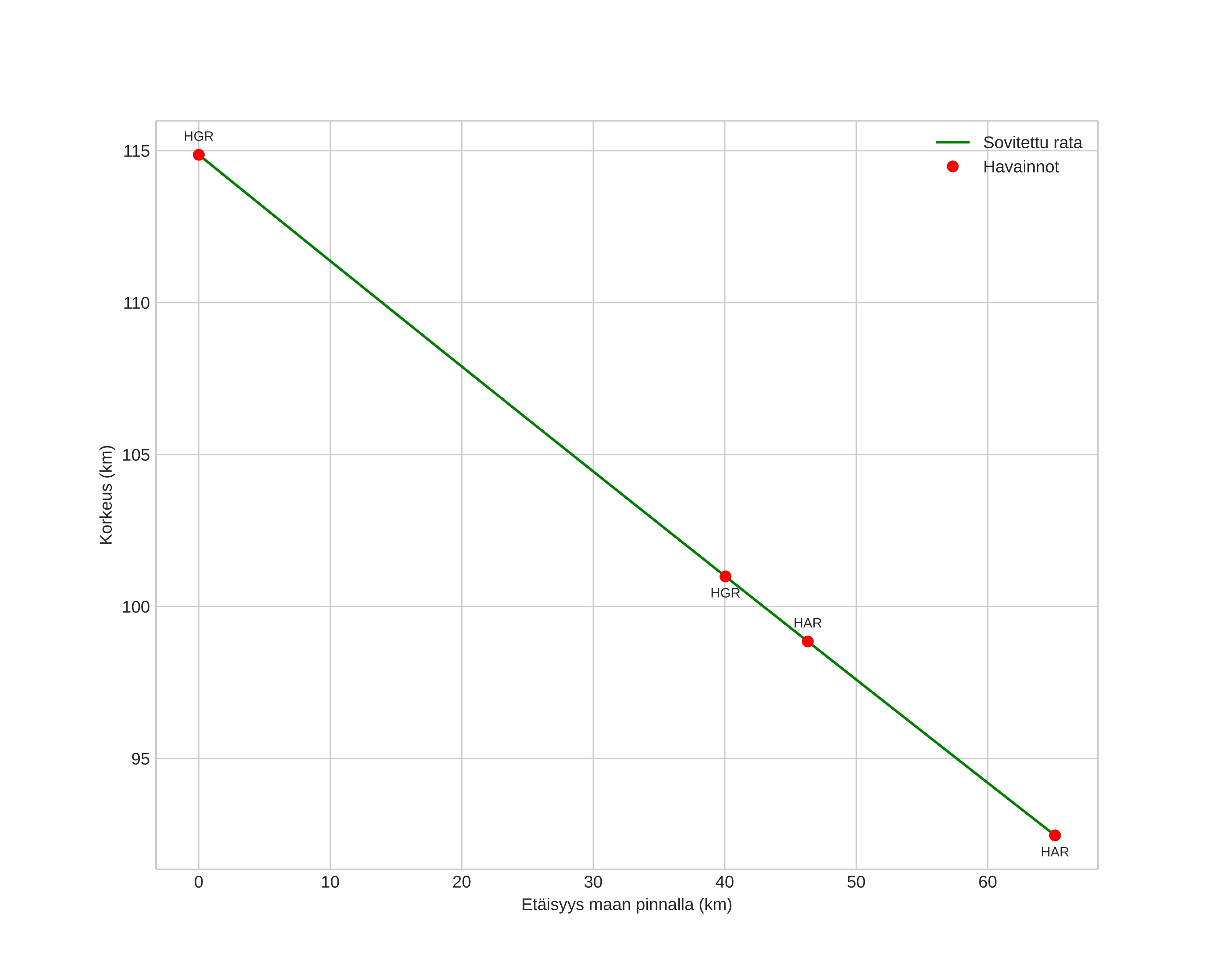
Meteorin ilmakehärata:
Alkukorkeus: 114,9 km
Loppukorkeus: 92,5 km
Alkupiste: 62,038N 5,340E
Loppupiste: 62,191N 6,550E
Suunta: 74,4°
Kallistuskulma: 19,0°
Tulonopeus: 73,0 km/s
Radiantin R,A,: 08:15 (123,8°)
Radiantin Dekl,: 9,3°
Meteoriparvi: Sporadinen
Meteoroidin rataelementit:
Perihelietäisyys: 0,105 AU
Eksentrisyys: 1,248
Inklinaatio: 118,6°
Nousevan solmun pituus: 92,3°
Perihelin argumentti: 127,6°
Keskianomalia: -83,1°
Epookki: 2025 DEC 24 06:14:29
orbit plot

Ei-interaktiivinen kuvaaja | Interaktiivinen kuvaaja

position vs time
speed and acceleration

Hagar (HGR) cam1


gnomonic
Videot:
• Gnomoninen
• Gnomoninen koordinaateilla
• Alkuperäinen
• Alkuperäinen koordinaateilla
Kuvat:
• Gnomoninen
• Gnomoninen koordinaateilla
• Alkuperäinen
• Alkuperäinen koordinaateilla
Tekstitiedostot:
• Havaintoraportti
• Observaatio
• Koordinaatit
• Loki
Kirkkaus

Harestua (HAR) cam5


gnomonic
Videot:
• Gnomoninen
• Gnomoninen koordinaateilla
• Alkuperäinen
• Alkuperäinen koordinaateilla
Kuvat:
• Gnomoninen
• Gnomoninen koordinaateilla
• Alkuperäinen
• Alkuperäinen koordinaateilla
Tekstitiedostot:
• Havaintoraportti
• Observaatio
• Koordinaatit
• Loki
Kirkkaus