🇳🇴 🇬🇧 🇩🇪 🇨🇿 🇫🇮

Meteor over Innbygda 2025-12-24 06:19:16 UTC

KML-fil  |  Interaktivt kart

Kartet viser peilingene for meteoren. De lysere linjene viser retningene fra observasjonsstedene for meteorens tilsynekomst, og de mørkere linjene viser hvor den sist kunne sees. Den blå pila viser meteorens synlige ferd.

static map
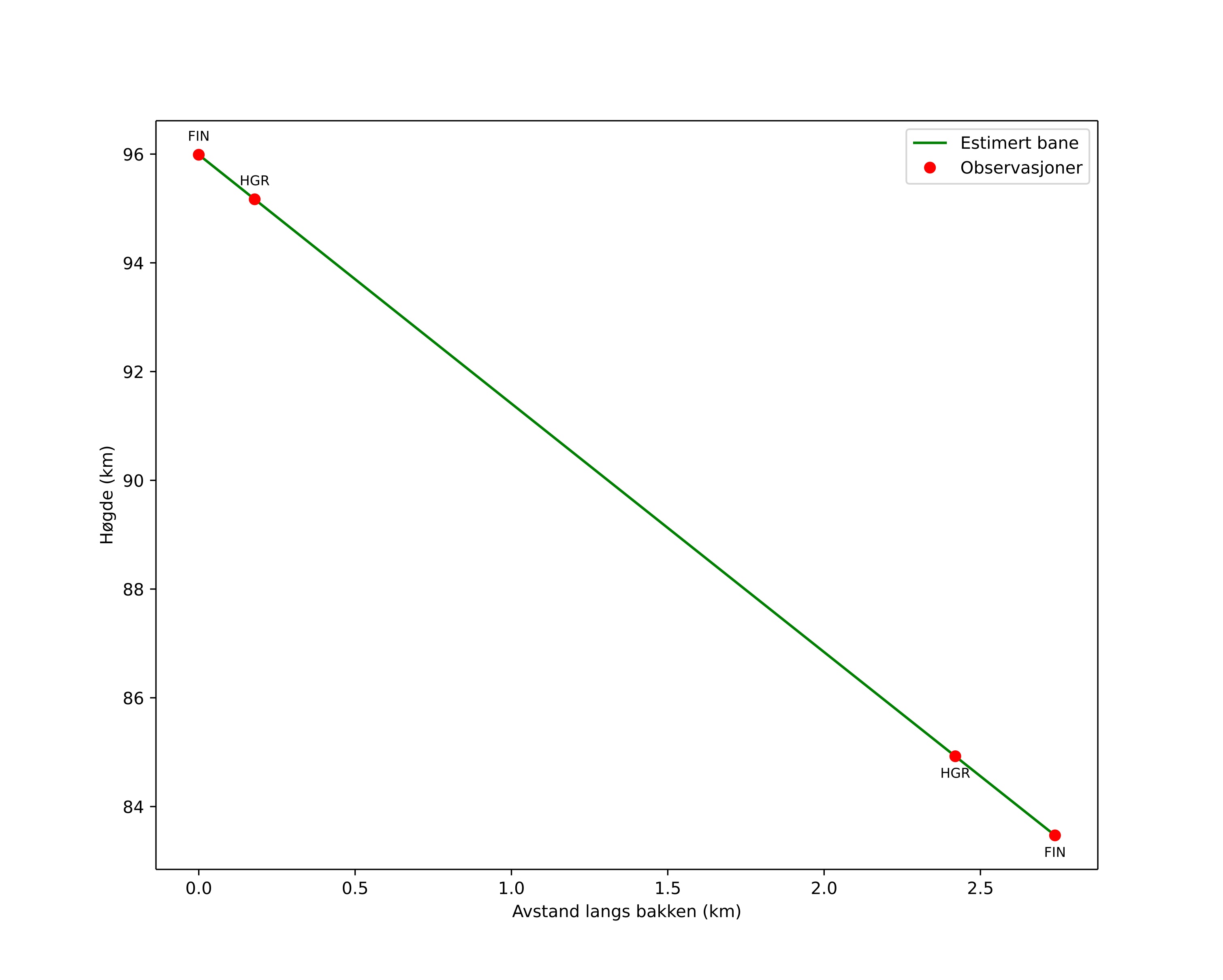
height profile
Meteorens atmosfæriske bane:
Starthøgde: 96,0 km
Slutthøgde: 83,5 km
Startposisjon: 61,169N 12,210E
Sluttposisjon: 61,182N 12,166E
Retning: 300,6°
Fallvinkel: 77,6°
Inngangshastighet: 43,6 km/s
Radiantens rektascensjon: 14:29 (217,5°)
Radiantens deklinasjon: 53,3°
Meteorsverm: sporadisk
Meteoroidens baneelement:
Perihelavstand: 0,984 AU
Eksentrisitet: 0,646
Inklinasjon: 74,5°
Knutelengde: 272,3°
Perihelargument: 181,2°
Midlere anomali: 359,8°
Epoke: 2025 DEC 24 06:19:16
orbit plot

Ikke-interaktivt plott | Interaktivt plott

position vs time
speed and acceleration

Finnskogen (FIN) cam6


gnomonic
Videoer
• Gnomonisk
• Gnomonisk med koordinater
• Original
• Original med koordinater
Bilder
• Gnomonisk
• Gnomonisk med koordinater
• Original
• Original med koordinater
Tekstfiler
• Deteksjon
• Observasjon
• Koordinater
• Logg
Lysstyrke

Hagar (HGR) cam3


gnomonic
Videoer
• Gnomonisk
• Gnomonisk med koordinater
• Original
• Original med koordinater
Bilder
• Gnomonisk
• Gnomonisk med koordinater
• Original
• Original med koordinater
Tekstfiler
• Deteksjon
• Observasjon
• Koordinater
• Logg
Lysstyrke