🇳🇴 🇬🇧 🇩🇪 🇨🇿 🇫🇮

Meteor Vikersundin yllä 2025-12-25 05:14:10 UTC

KML-tiedosto  |  Interaktiivinen kartta

Kartta näyttää meteorin suuntahavainnot. Vaaleammat viivat näyttävät suunnat havaintoasemilta meteorin ilmestyessä, ja tummemmat viivat näyttävät, missä se viimeksi nähtiin. Sininen nuoli näyttää meteorin näkyvän lennon.

static map
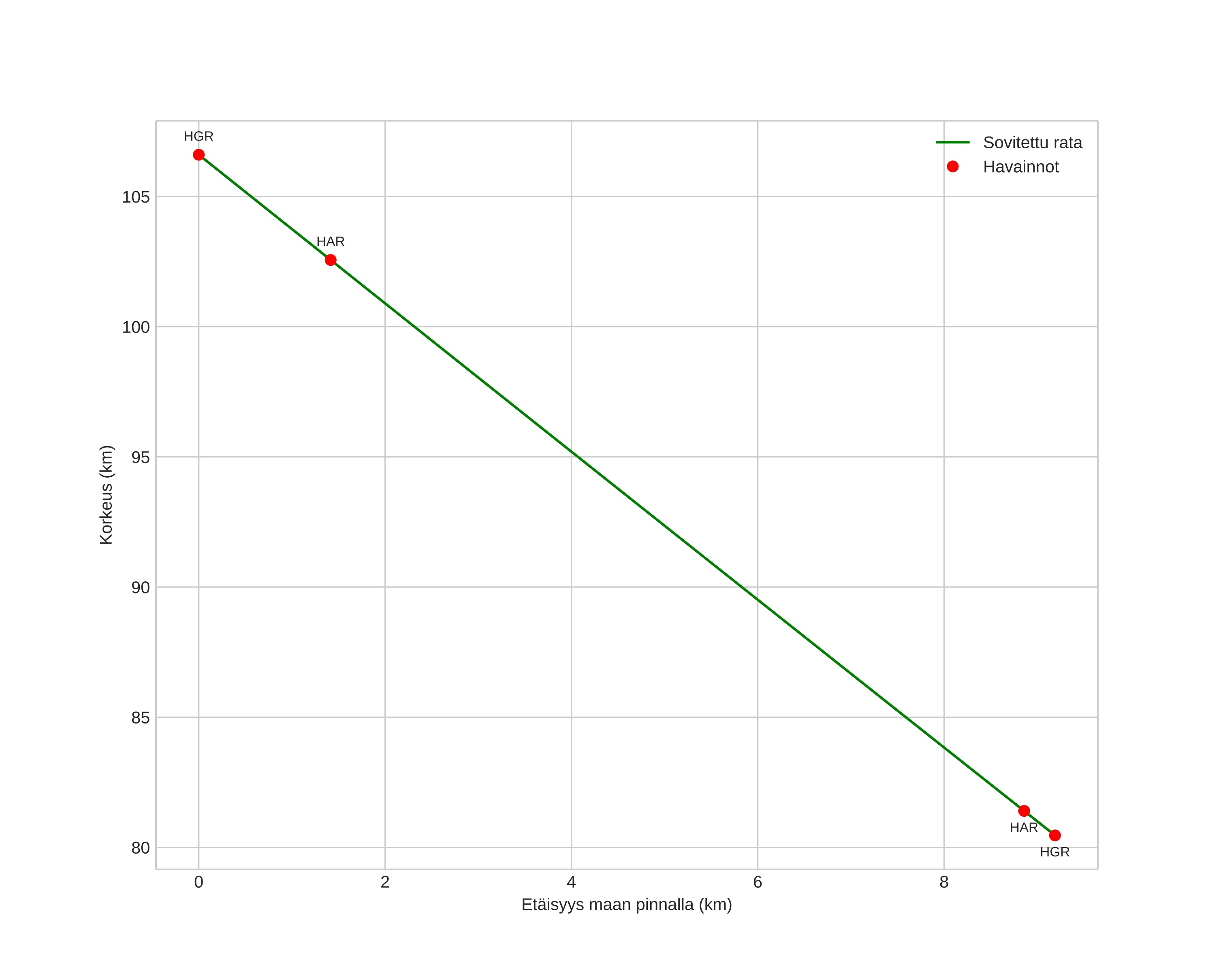
height profile
Meteorin ilmakehärata:
Alkukorkeus: 106,6 km
Loppukorkeus: 80,5 km
Alkupiste: 60,008N 9,951E
Loppupiste: 60,075N 10,046E
Suunta: 35,2°
Kallistuskulma: 70,6°
Tulonopeus: 62,3 km/s
Radiantin R,A,: 11:06 (166,6°)
Radiantin Dekl,: 42,7°
Meteoriparvi: Sporadinen
Meteoroidin rataelementit:
Perihelietäisyys: 0,636 AU
Eksentrisyys: 1,233
Inklinaatio: 109,4°
Nousevan solmun pituus: 273,3°
Perihelin argumentti: 248,9°
Keskianomalia: -7,1°
Epookki: 2025 DEC 25 05:14:10
orbit plot

Ei-interaktiivinen kuvaaja | Interaktiivinen kuvaaja

position vs time
speed and acceleration

Hagar (HGR) cam6


gnomonic
Videot:
• Gnomoninen
• Gnomoninen koordinaateilla
• Alkuperäinen
• Alkuperäinen koordinaateilla
Kuvat:
• Gnomoninen
• Gnomoninen koordinaateilla
• Alkuperäinen
• Alkuperäinen koordinaateilla
Tekstitiedostot:
• Havaintoraportti
• Observaatio
• Koordinaatit
• Loki
Kirkkaus

Harestua (HAR) cam7


gnomonic
Videot:
• Gnomoninen
• Gnomoninen koordinaateilla
• Alkuperäinen
• Alkuperäinen koordinaateilla
Kuvat:
• Gnomoninen
• Gnomoninen koordinaateilla
• Alkuperäinen
• Alkuperäinen koordinaateilla
Tekstitiedostot:
• Havaintoraportti
• Observaatio
• Koordinaatit
• Loki
Kirkkaus