🇳🇴 🇬🇧 🇩🇪 🇨🇿 🇫🇮

Meteor over Brumunddal 2025-12-26 00:16:25 UTC

KML-fil  |  Interaktivt kart

Kartet viser peilingene for meteoren. De lysere linjene viser retningene fra observasjonsstedene for meteorens tilsynekomst, og de mørkere linjene viser hvor den sist kunne sees. Den blå pila viser meteorens synlige ferd.

static map
height profile
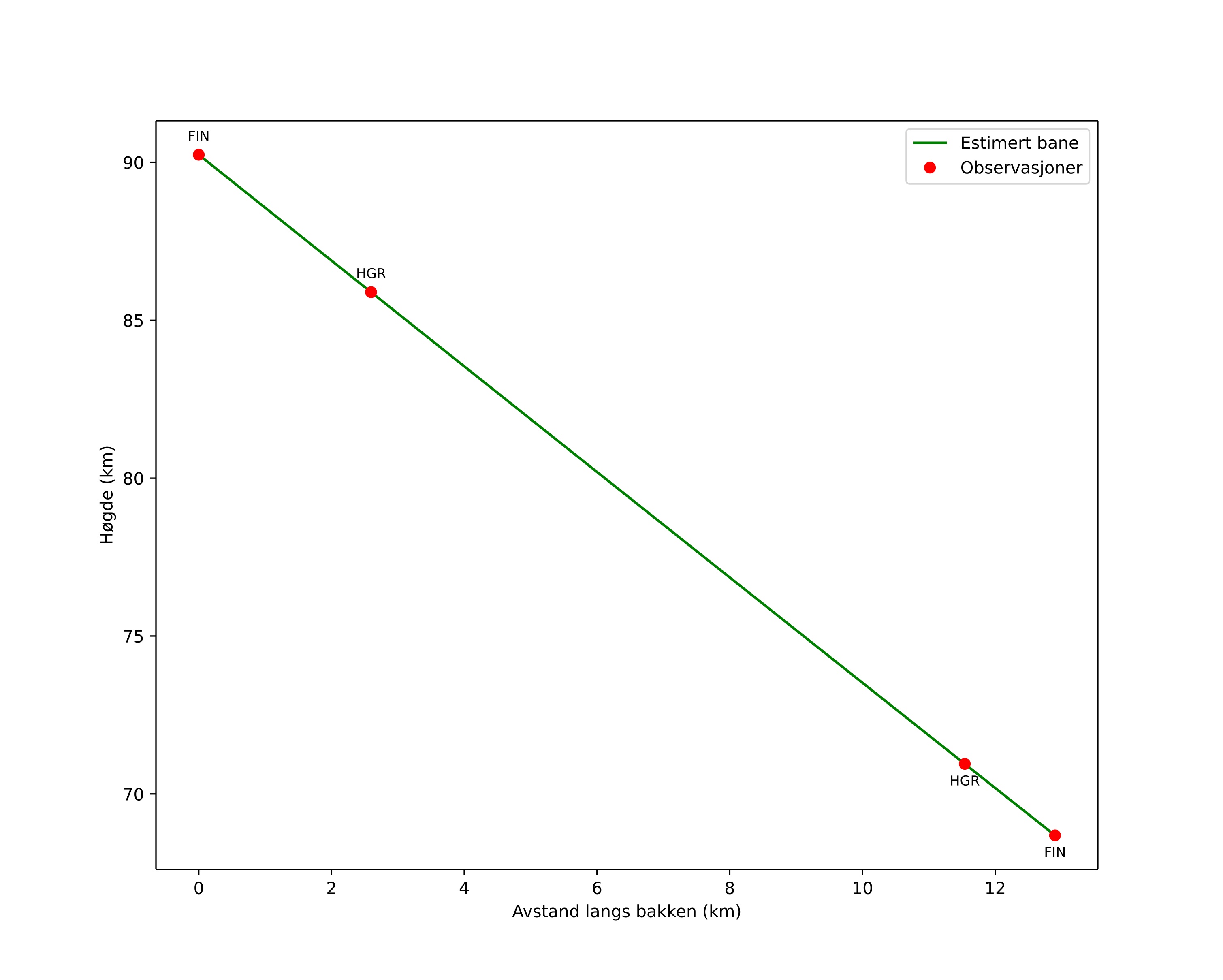
Meteorens atmosfæriske bane:
Starthøgde: 90,2 km
Slutthøgde: 68,7 km
Startposisjon: 61,057N 10,835E
Sluttposisjon: 61,167N 10,915E
Retning: 19,3°
Fallvinkel: 59,0°
Inngangshastighet: 28,0 km/s
Radiantens rektascensjon: 06:27 (96,9°)
Radiantens deklinasjon: 29,5°
Meteorsverm: sporadisk
Meteoroidens baneelement:
Perihelavstand: 0,517 AU
Eksentrisitet: 0,841
Inklinasjon: 5,4°
Knutelengde: 274,1°
Perihelargument: 272,2°
Midlere anomali: 352,9°
Epoke: 2025 DEC 26 00:16:25
orbit plot

Ikke-interaktivt plott | Interaktivt plott

position vs time
speed and acceleration

Finnskogen (FIN) cam5


gnomonic
Videoer
• Gnomonisk
• Gnomonisk med koordinater
• Original
• Original med koordinater
Bilder
• Gnomonisk
• Gnomonisk med koordinater
• Original
• Original med koordinater
Tekstfiler
• Deteksjon
• Observasjon
• Koordinater
• Logg
Lysstyrke

Hagar (HGR) cam7


gnomonic
Videoer
• Gnomonisk
• Gnomonisk med koordinater
• Original
• Original med koordinater
Bilder
• Gnomonisk
• Gnomonisk med koordinater
• Original
• Original med koordinater
Tekstfiler
• Deteksjon
• Observasjon
• Koordinater
• Logg
Lysstyrke