🇳🇴 🇬🇧 🇩🇪 🇨🇿 🇫🇮

Meteor over Skarnes 2025-12-26 04:11:11 UTC

KML-fil  |  Interaktivt kart

Kartet viser peilingene for meteoren. De lysere linjene viser retningene fra observasjonsstedene for meteorens tilsynekomst, og de mørkere linjene viser hvor den sist kunne sees. Den blå pila viser meteorens synlige ferd.

static map
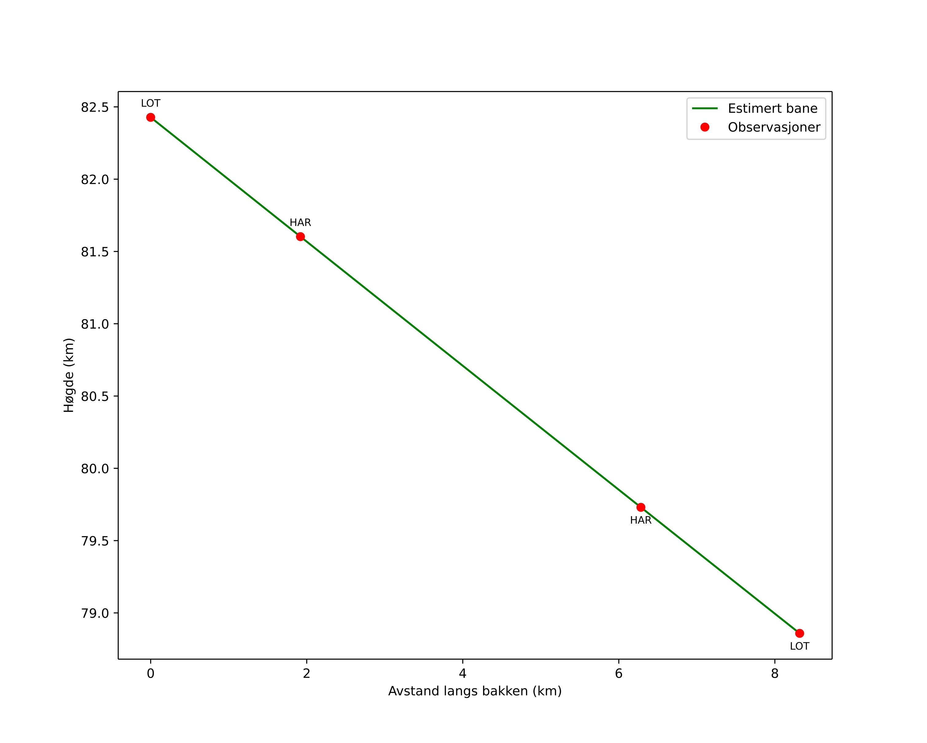
height profile
Meteorens atmosfæriske bane:
Starthøgde: 82,4 km
Slutthøgde: 78,9 km
Startposisjon: 60,455N 11,634E
Sluttposisjon: 60,433N 11,779E
Retning: 107,3°
Fallvinkel: 22,8°
Inngangshastighet: 16,9 km/s
Radiantens rektascensjon: 04:40 (70,0°)
Radiantens deklinasjon: 18,8°
Meteorsverm: sporadisk
Meteoroidens baneelement:
Perihelavstand: 0,848 AU
Eksentrisitet: 0,609
Inklinasjon: 1,2°
Knutelengde: 94,4°
Perihelargument: 50,3°
Midlere anomali: 349,2°
Epoke: 2025 DEC 26 04:11:11
orbit plot

Ikke-interaktivt plott | Interaktivt plott

position vs time
speed and acceleration

Harestua (HAR) cam6


gnomonic
Videoer
• Gnomonisk
• Gnomonisk med koordinater
• Original
• Original med koordinater
Bilder
• Gnomonisk
• Gnomonisk med koordinater
• Original
• Original med koordinater
Tekstfiler
• Deteksjon
• Observasjon
• Koordinater
• Logg
Lysstyrke

Loten (LOT) cam7


gnomonic
Videoer
• Gnomonisk
• Gnomonisk med koordinater
• Original
• Original med koordinater
Bilder
• Gnomonisk
• Gnomonisk med koordinater
• Original
• Original med koordinater
Tekstfiler
• Deteksjon
• Observasjon
• Koordinater
• Logg
Lysstyrke