🇳🇴 🇬🇧 🇩🇪 🇨🇿 🇫🇮

Meteor over Elverum 2025-12-26 05:02:26 UTC

KML-fil  |  Interaktivt kart

Kartet viser peilingene for meteoren. De lysere linjene viser retningene fra observasjonsstedene for meteorens tilsynekomst, og de mørkere linjene viser hvor den sist kunne sees. Den blå pila viser meteorens synlige ferd.

static map
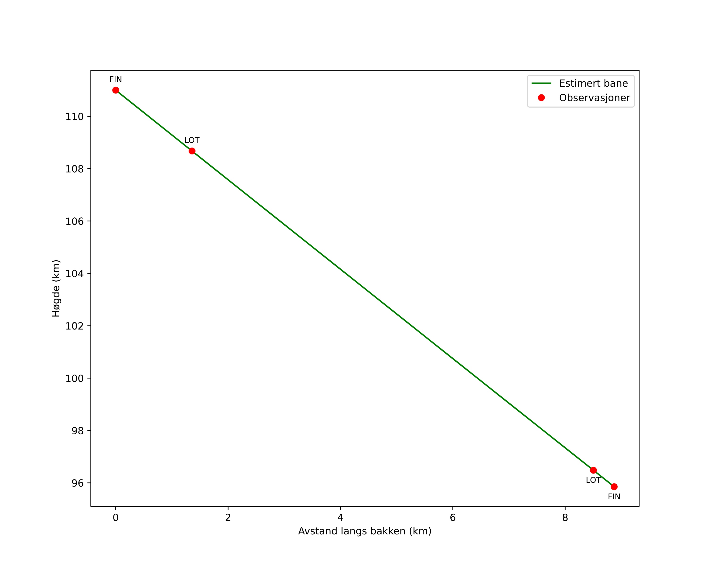
height profile
Meteorens atmosfæriske bane:
Starthøgde: 111,0 km
Slutthøgde: 95,9 km
Startposisjon: 60,833N 11,770E
Sluttposisjon: 60,896N 11,669E
Retning: 322,1°
Fallvinkel: 59,6°
Inngangshastighet: 60,3 km/s
Radiantens rektascensjon: 13:35 (203,8°)
Radiantens deklinasjon: 33,7°
Meteorsverm: sporadisk
Meteoroidens baneelement:
Perihelavstand: 0,982 AU
Eksentrisitet: 0,858
Inklinasjon: 111,5°
Knutelengde: 274,3°
Perihelargument: 175,0°
Midlere anomali: 0,2°
Epoke: 2025 DEC 26 05:02:26
orbit plot

Ikke-interaktivt plott | Interaktivt plott

position vs time
speed and acceleration

Finnskogen (FIN) cam7


gnomonic
Videoer
• Gnomonisk
• Gnomonisk med koordinater
• Original
• Original med koordinater
Bilder
• Gnomonisk
• Gnomonisk med koordinater
• Original
• Original med koordinater
Tekstfiler
• Deteksjon
• Observasjon
• Koordinater
• Logg
Lysstyrke

Loten (LOT) cam6


gnomonic
Videoer
• Gnomonisk
• Gnomonisk med koordinater
• Original
• Original med koordinater
Bilder
• Gnomonisk
• Gnomonisk med koordinater
• Original
• Original med koordinater
Tekstfiler
• Deteksjon
• Observasjon
• Koordinater
• Logg
Lysstyrke