🇳🇴 🇬🇧 🇩🇪 🇨🇿 🇫🇮

Meteor Bjørkelangenin yllä 2025-12-26 19:29:24 UTC

KML-tiedosto  |  Interaktiivinen kartta

Kartta näyttää meteorin suuntahavainnot. Vaaleammat viivat näyttävät suunnat havaintoasemilta meteorin ilmestyessä, ja tummemmat viivat näyttävät, missä se viimeksi nähtiin. Sininen nuoli näyttää meteorin näkyvän lennon.

static map
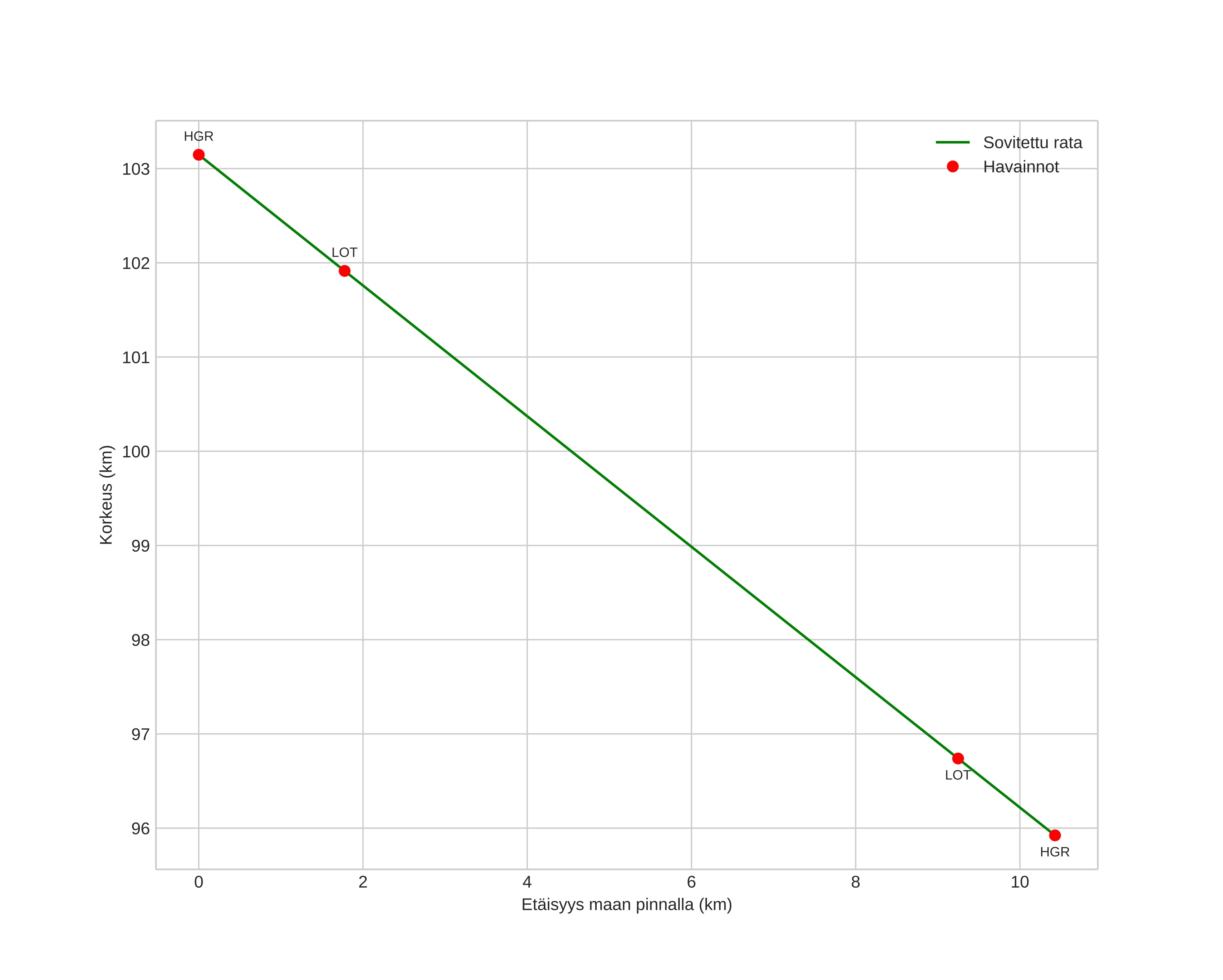
height profile
Meteorin ilmakehärata:
Alkukorkeus: 103,1 km
Loppukorkeus: 95,9 km
Alkupiste: 59,974N 11,860E
Loppupiste: 59,894N 11,764E
Suunta: 211,1°
Kallistuskulma: 34,6°
Tulonopeus: 53,2 km/s
Radiantin R,A,: 11:10 (167,6°)
Radiantin Dekl,: 57,4°
Meteoriparvi: Sporadinen
Meteoroidin rataelementit:
Perihelietäisyys: 0,709 AU
Eksentrisyys: 1,225
Inklinaatio: 82,4°
Nousevan solmun pituus: 274,9°
Perihelin argumentti: 240,4°
Keskianomalia: -5,4°
Epookki: 2025 DEC 26 19:29:24
orbit plot

Ei-interaktiivinen kuvaaja | Interaktiivinen kuvaaja

position vs time
speed and acceleration

Hagar (HGR) cam4


gnomonic
Videot:
• Gnomoninen
• Gnomoninen koordinaateilla
• Alkuperäinen
• Alkuperäinen koordinaateilla
Kuvat:
• Gnomoninen
• Gnomoninen koordinaateilla
• Alkuperäinen
• Alkuperäinen koordinaateilla
Tekstitiedostot:
• Havaintoraportti
• Observaatio
• Koordinaatit
• Loki
Kirkkaus

Loten (LOT) cam7


gnomonic
Videot:
• Gnomoninen
• Gnomoninen koordinaateilla
• Alkuperäinen
• Alkuperäinen koordinaateilla
Kuvat:
• Gnomoninen
• Gnomoninen koordinaateilla
• Alkuperäinen
• Alkuperäinen koordinaateilla
Tekstitiedostot:
• Havaintoraportti
• Observaatio
• Koordinaatit
• Loki
Kirkkaus