🇳🇴 🇬🇧 🇩🇪 🇨🇿 🇫🇮

Meteor Fjerdingbyn yllä 2025-12-27 01:22:29 UTC

KML-tiedosto  |  Interaktiivinen kartta

Kartta näyttää meteorin suuntahavainnot. Vaaleammat viivat näyttävät suunnat havaintoasemilta meteorin ilmestyessä, ja tummemmat viivat näyttävät, missä se viimeksi nähtiin. Sininen nuoli näyttää meteorin näkyvän lennon.

static map
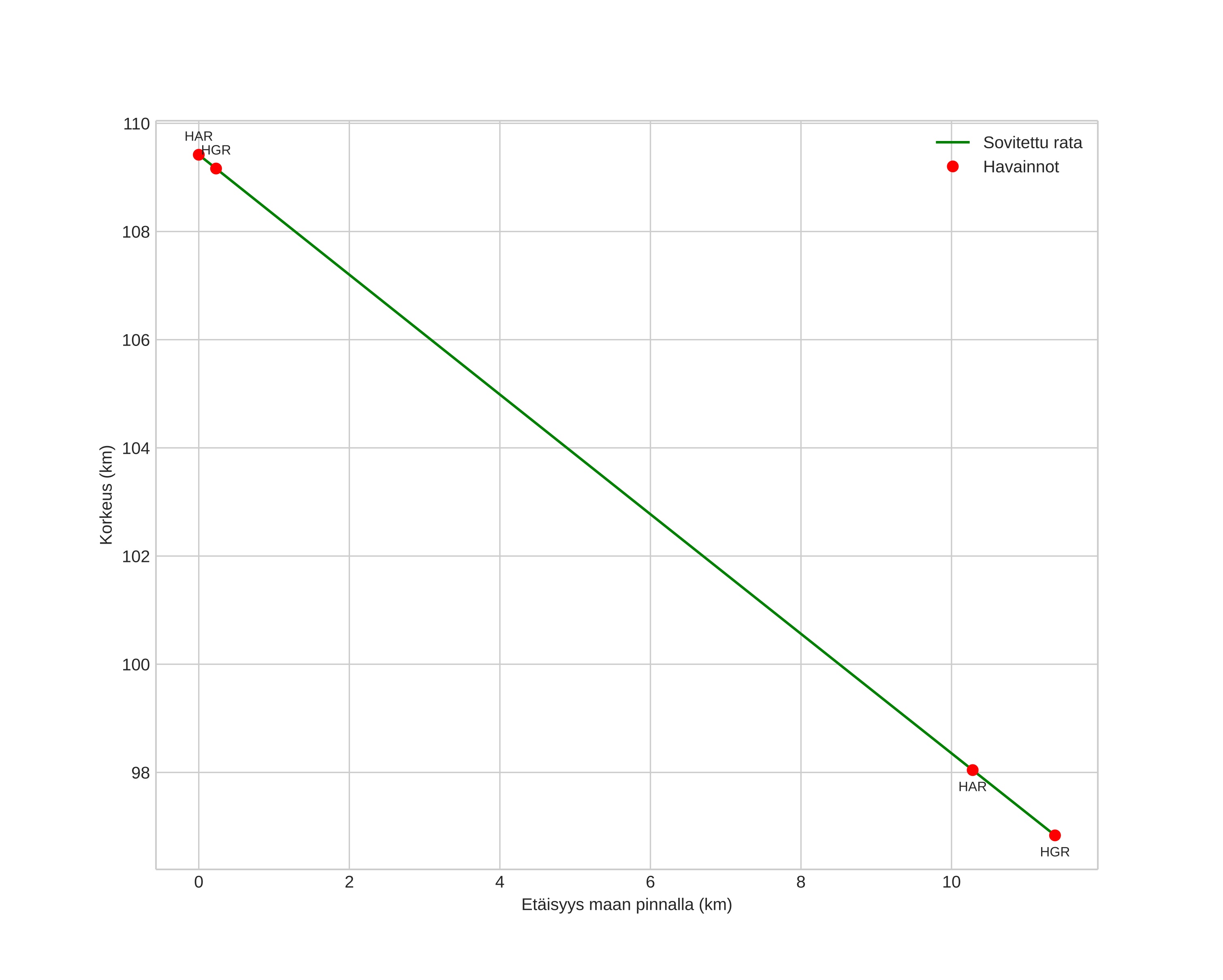
height profile
Meteorin ilmakehärata:
Alkukorkeus: 109,4 km
Loppukorkeus: 96,8 km
Alkupiste: 59,852N 11,223E
Loppupiste: 59,902N 11,046E
Suunta: 299,6°
Kallistuskulma: 47,9°
Tulonopeus: 63,4 km/s
Radiantin R,A,: 11:14 (168,6°)
Radiantin Dekl,: 28,2°
Meteoriparvi: desember-leonis-minoridene
Meteoroidin rataelementit:
Perihelietäisyys: 0,552 AU
Eksentrisyys: 0,919
Inklinaatio: 133,2°
Nousevan solmun pituus: 275,2°
Perihelin argumentti: 265,1°
Keskianomalia: 357,8°
Epookki: 2025 DEC 27 01:22:29
orbit plot

Ei-interaktiivinen kuvaaja | Interaktiivinen kuvaaja

position vs time
speed and acceleration

Hagar (HGR) cam6


gnomonic
Videot:
• Gnomoninen
• Gnomoninen koordinaateilla
• Alkuperäinen
• Alkuperäinen koordinaateilla
Kuvat:
• Gnomoninen
• Gnomoninen koordinaateilla
• Alkuperäinen
• Alkuperäinen koordinaateilla
Tekstitiedostot:
• Havaintoraportti
• Observaatio
• Koordinaatit
• Loki
Kirkkaus

Harestua (HAR) cam7


gnomonic
Videot:
• Gnomoninen
• Gnomoninen koordinaateilla
• Alkuperäinen
• Alkuperäinen koordinaateilla
Kuvat:
• Gnomoninen
• Gnomoninen koordinaateilla
• Alkuperäinen
• Alkuperäinen koordinaateilla
Tekstitiedostot:
• Havaintoraportti
• Observaatio
• Koordinaatit
• Loki
Kirkkaus