🇳🇴 🇬🇧 🇩🇪 🇨🇿 🇫🇮

Meteor Neskollenin yllä 2025-12-27 02:41:07 UTC

KML-tiedosto  |  Interaktiivinen kartta

Kartta näyttää meteorin suuntahavainnot. Vaaleammat viivat näyttävät suunnat havaintoasemilta meteorin ilmestyessä, ja tummemmat viivat näyttävät, missä se viimeksi nähtiin. Sininen nuoli näyttää meteorin näkyvän lennon.

static map
height profile
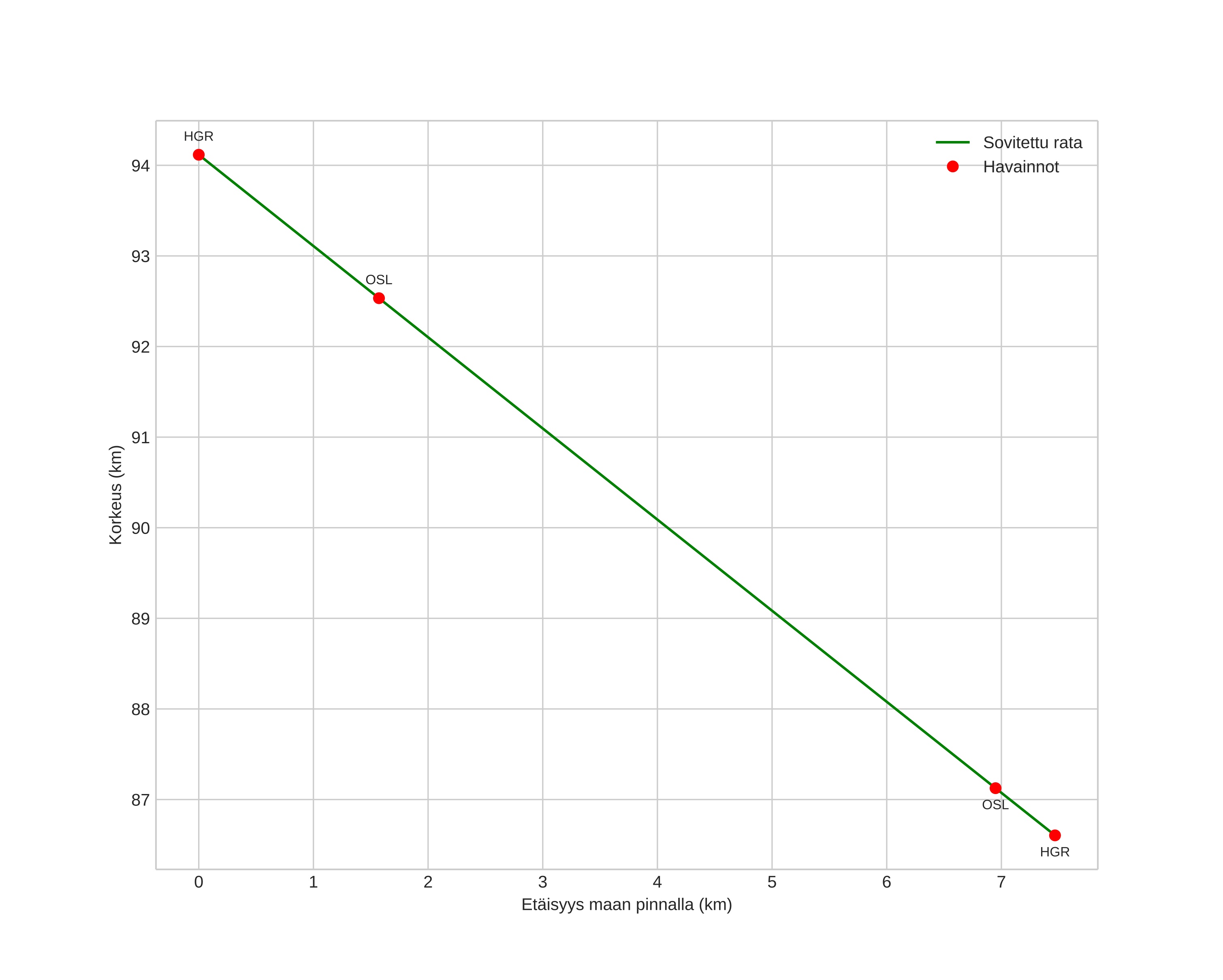
Meteorin ilmakehärata:
Alkukorkeus: 94,1 km
Loppukorkeus: 86,6 km
Alkupiste: 60,175N 11,222E
Loppupiste: 60,224N 11,315E
Suunta: 43,4°
Kallistuskulma: 45,1°
Tulonopeus: 28,8 km/s
Radiantin R,A,: 07:37 (114,4°)
Radiantin Dekl,: 19,2°
Meteoriparvi: Sporadinen
Meteoroidin rataelementit:
Perihelietäisyys: 0,301 AU
Eksentrisyys: 0,775
Inklinaatio: 2,7°
Nousevan solmun pituus: 95,3°
Perihelin argumentti: 126,0°
Keskianomalia: 331,8°
Epookki: 2025 DEC 27 02:41:07
orbit plot

Ei-interaktiivinen kuvaaja | Interaktiivinen kuvaaja

position vs time
speed and acceleration

Hagar (HGR) cam6


gnomonic
Videot:
• Gnomoninen
• Gnomoninen koordinaateilla
• Alkuperäinen
• Alkuperäinen koordinaateilla
Kuvat:
• Gnomoninen
• Gnomoninen koordinaateilla
• Alkuperäinen
• Alkuperäinen koordinaateilla
Tekstitiedostot:
• Havaintoraportti
• Observaatio
• Koordinaatit
• Loki
Kirkkaus

Voksenlia (OSL) cam6


gnomonic
Videot:
• Gnomoninen
• Gnomoninen koordinaateilla
• Alkuperäinen
• Alkuperäinen koordinaateilla
Kuvat:
• Gnomoninen
• Gnomoninen koordinaateilla
• Alkuperäinen
• Alkuperäinen koordinaateilla
Tekstitiedostot:
• Havaintoraportti
• Observaatio
• Koordinaatit
• Loki
Kirkkaus