🇳🇴 🇬🇧 🇩🇪 🇨🇿 🇫🇮

Meteor Skreian yllä 2025-12-27 18:47:59 UTC

KML-tiedosto  |  Interaktiivinen kartta

Kartta näyttää meteorin suuntahavainnot. Vaaleammat viivat näyttävät suunnat havaintoasemilta meteorin ilmestyessä, ja tummemmat viivat näyttävät, missä se viimeksi nähtiin. Sininen nuoli näyttää meteorin näkyvän lennon.

static map
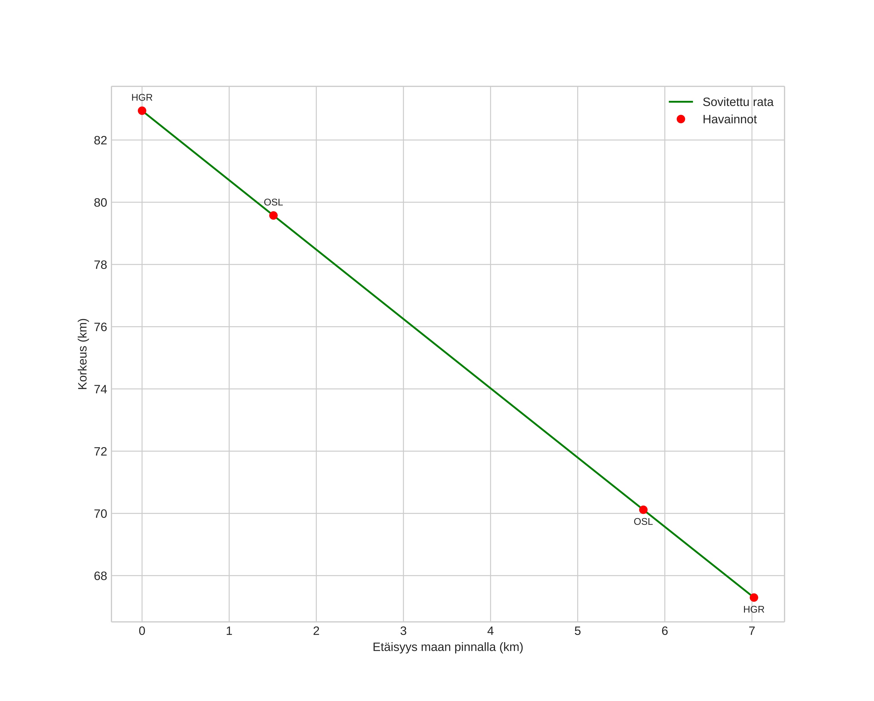
height profile
Meteorin ilmakehärata:
Alkukorkeus: 82,9 km
Loppukorkeus: 67,3 km
Alkupiste: 60,662N 10,817E
Loppupiste: 60,626N 10,923E
Suunta: 124,9°
Kallistuskulma: 65,8°
Tulonopeus: 16,1 km/s
Radiantin R,A,: 21:41 (325,4°)
Radiantin Dekl,: 63,3°
Meteoriparvi: Sporadinen
Meteoroidin rataelementit:
Perihelietäisyys: 0,982 AU
Eksentrisyys: 0,474
Inklinaatio: 17,4°
Nousevan solmun pituus: 275,9°
Perihelin argumentti: 185,1°
Keskianomalia: 358,4°
Epookki: 2025 DEC 27 18:47:59
orbit plot

Ei-interaktiivinen kuvaaja | Interaktiivinen kuvaaja

position vs time
speed and acceleration

Hagar (HGR) cam7


gnomonic
Videot:
• Gnomoninen
• Gnomoninen koordinaateilla
• Alkuperäinen
• Alkuperäinen koordinaateilla
Kuvat:
• Gnomoninen
• Gnomoninen koordinaateilla
• Alkuperäinen
• Alkuperäinen koordinaateilla
Tekstitiedostot:
• Havaintoraportti
• Observaatio
• Koordinaatit
• Loki
Kirkkaus

Voksenlia (OSL) cam1


gnomonic
Videot:
• Gnomoninen
• Gnomoninen koordinaateilla
• Alkuperäinen
• Alkuperäinen koordinaateilla
Kuvat:
• Gnomoninen
• Gnomoninen koordinaateilla
• Alkuperäinen
• Alkuperäinen koordinaateilla
Tekstitiedostot:
• Havaintoraportti
• Observaatio
• Koordinaatit
• Loki
Kirkkaus