🇳🇴 🇬🇧 🇩🇪 🇨🇿 🇫🇮

Meteor Årjängin yllä 2025-12-27 23:18:52 UTC

KML-tiedosto  |  Interaktiivinen kartta

Kartta näyttää meteorin suuntahavainnot. Vaaleammat viivat näyttävät suunnat havaintoasemilta meteorin ilmestyessä, ja tummemmat viivat näyttävät, missä se viimeksi nähtiin. Sininen nuoli näyttää meteorin näkyvän lennon.

static map
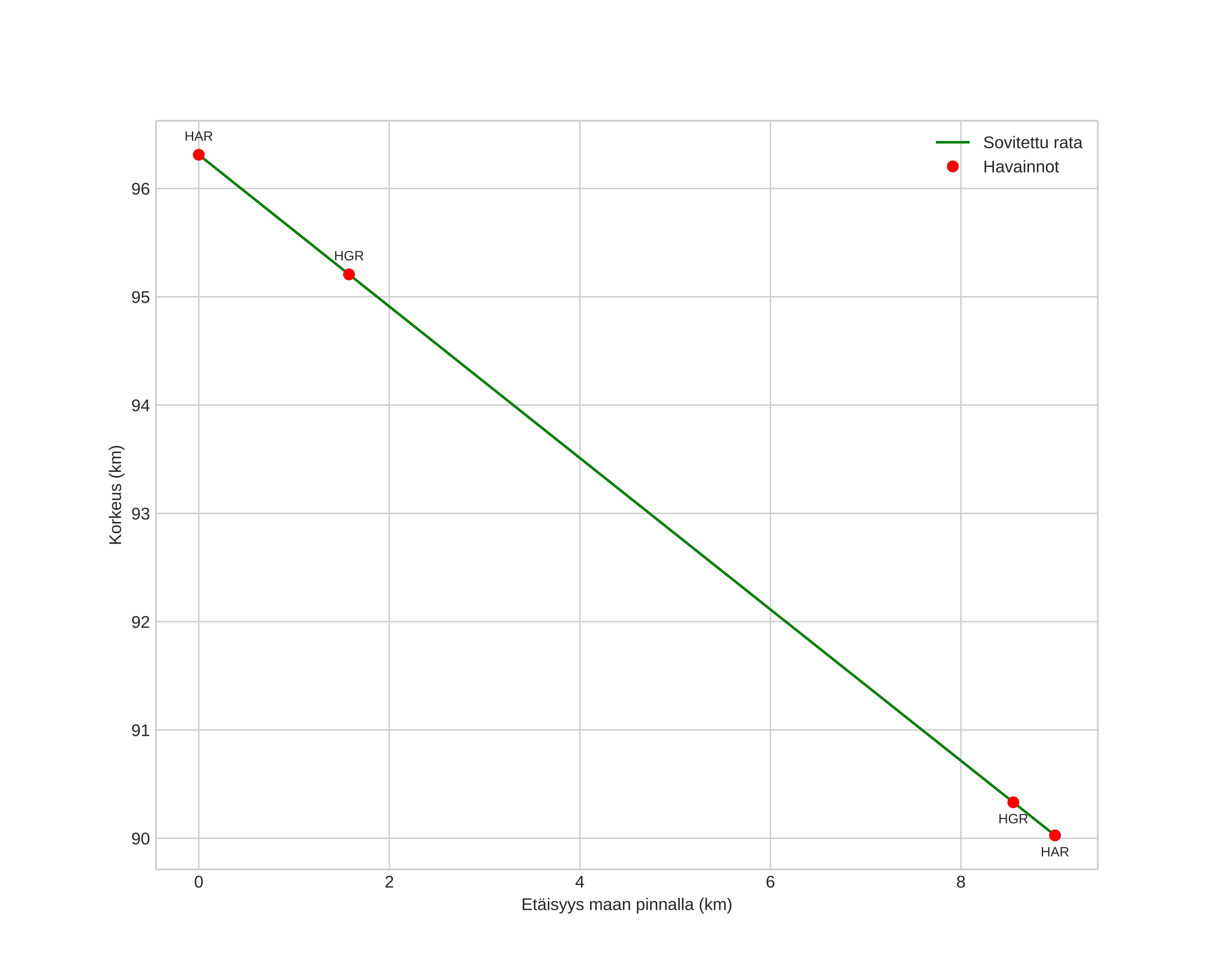
height profile
Meteorin ilmakehärata:
Alkukorkeus: 96,3 km
Loppukorkeus: 90,0 km
Alkupiste: 59,591N 12,167E
Loppupiste: 59,528N 12,067E
Suunta: 218,9°
Kallistuskulma: 35,0°
Tulonopeus: 46,7 km/s
Radiantin R,A,: 14:23 (216,0°)
Radiantin Dekl,: 54,5°
Meteoriparvi: Sporadinen
Meteoroidin rataelementit:
Perihelietäisyys: 0,979 AU
Eksentrisyys: 0,867
Inklinaatio: 77,0°
Nousevan solmun pituus: 276,1°
Perihelin argumentti: 188,4°
Keskianomalia: 359,7°
Epookki: 2025 DEC 27 23:18:52
orbit plot

Ei-interaktiivinen kuvaaja | Interaktiivinen kuvaaja

position vs time
speed and acceleration

Hagar (HGR) cam4


gnomonic
Videot:
• Gnomoninen
• Gnomoninen koordinaateilla
• Alkuperäinen
• Alkuperäinen koordinaateilla
Kuvat:
• Gnomoninen
• Gnomoninen koordinaateilla
• Alkuperäinen
• Alkuperäinen koordinaateilla
Tekstitiedostot:
• Havaintoraportti
• Observaatio
• Koordinaatit
• Loki
Kirkkaus

Harestua (HAR) cam3


gnomonic
Videot:
• Gnomoninen
• Gnomoninen koordinaateilla
• Alkuperäinen
• Alkuperäinen koordinaateilla
Kuvat:
• Gnomoninen
• Gnomoninen koordinaateilla
• Alkuperäinen
• Alkuperäinen koordinaateilla
Tekstitiedostot:
• Havaintoraportti
• Observaatio
• Koordinaatit
• Loki
Kirkkaus