🇳🇴 🇬🇧 🇩🇪 🇨🇿 🇫🇮

Meteor Lyngdalin yllä 2025-12-28 18:49:16 UTC

KML-tiedosto  |  Interaktiivinen kartta

Kartta näyttää meteorin suuntahavainnot. Vaaleammat viivat näyttävät suunnat havaintoasemilta meteorin ilmestyessä, ja tummemmat viivat näyttävät, missä se viimeksi nähtiin. Sininen nuoli näyttää meteorin näkyvän lennon.

static map
height profile
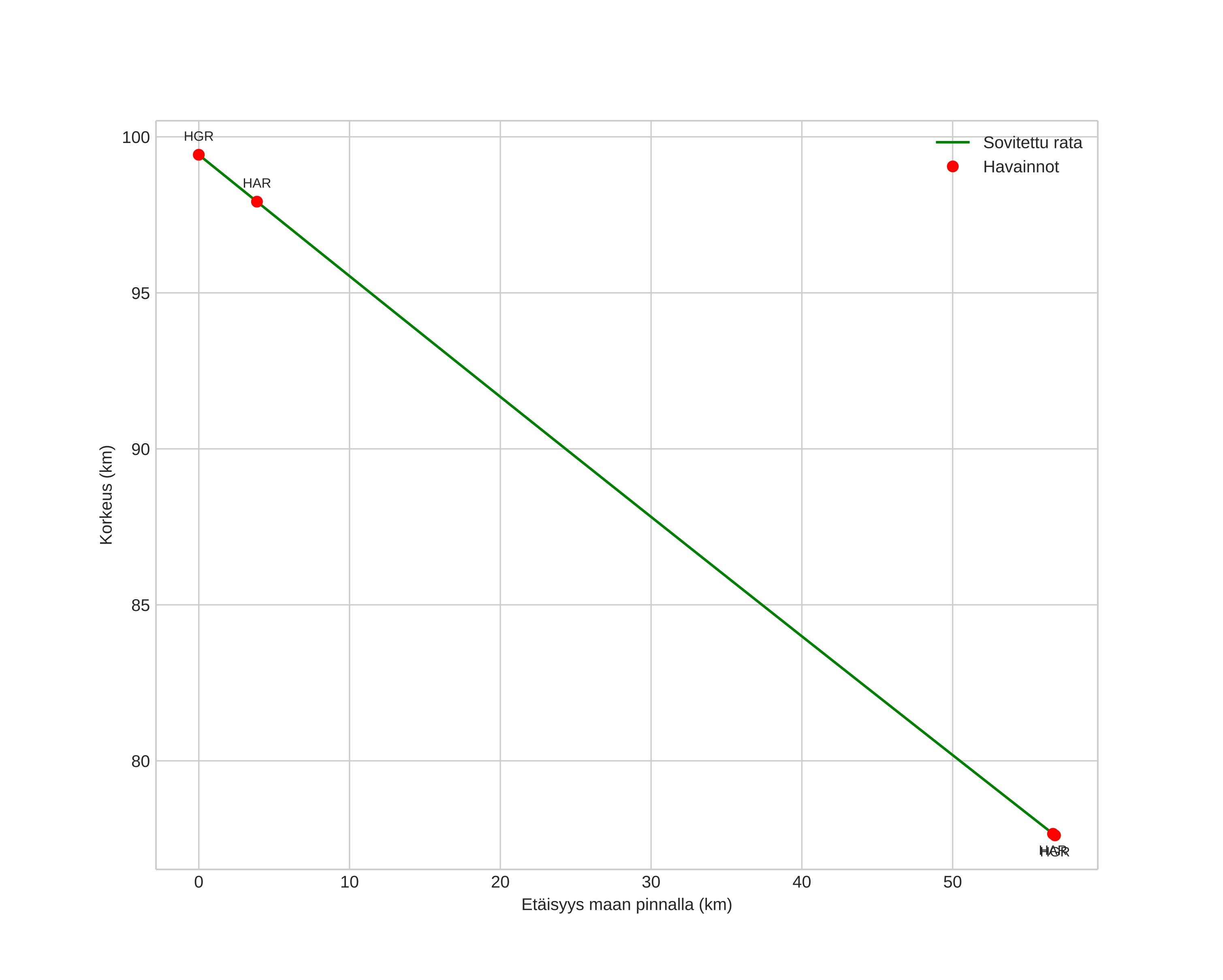
Meteorin ilmakehärata:
Alkukorkeus: 99,4 km
Loppukorkeus: 77,6 km
Alkupiste: 58,695N 6,903E
Loppupiste: 58,199N 7,134E
Suunta: 166,2°
Kallistuskulma: 21,0°
Tulonopeus: 42,2 km/s
Radiantin R,A,: 15:08 (227,2°)
Radiantin Dekl,: 49,7°
Meteoriparvi: Kvadrantidit
Meteoroidin rataelementit:
Perihelietäisyys: 0,975 AU
Eksentrisyys: 0,623
Inklinaatio: 71,9°
Nousevan solmun pituus: 276,9°
Perihelin argumentti: 167,7°
Keskianomalia: 2,2°
Epookki: 2025 DEC 28 18:49:16
orbit plot

Ei-interaktiivinen kuvaaja | Interaktiivinen kuvaaja

position vs time
speed and acceleration

Hagar (HGR) cam5


gnomonic
Videot:
• Gnomoninen
• Gnomoninen koordinaateilla
• Alkuperäinen
• Alkuperäinen koordinaateilla
Kuvat:
• Gnomoninen
• Gnomoninen koordinaateilla
• Alkuperäinen
• Alkuperäinen koordinaateilla
Tekstitiedostot:
• Havaintoraportti
• Observaatio
• Koordinaatit
• Loki
Kirkkaus

Harestua (HAR) cam4


gnomonic
Videot:
• Gnomoninen
• Gnomoninen koordinaateilla
• Alkuperäinen
• Alkuperäinen koordinaateilla
Kuvat:
• Gnomoninen
• Gnomoninen koordinaateilla
• Alkuperäinen
• Alkuperäinen koordinaateilla
Tekstitiedostot:
• Havaintoraportti
• Observaatio
• Koordinaatit
• Loki
Kirkkaus