🇳🇴 🇬🇧 🇩🇪 🇨🇿 🇫🇮

Meteor über Årøysund 2025-12-28 20:35:09 UTC

KML-Datei  |  Interaktive Karte

Die Karte zeigt die Peilungen für den Meteor. Die helleren Linien zeigen die Richtungen von den Beobachtungsorten beim Erscheinen des Meteors, und die dunkleren Linien, wo er zuletzt gesehen wurde. Der blaue Pfeil zeigt die sichtbare Bahn des Meteors.

static map
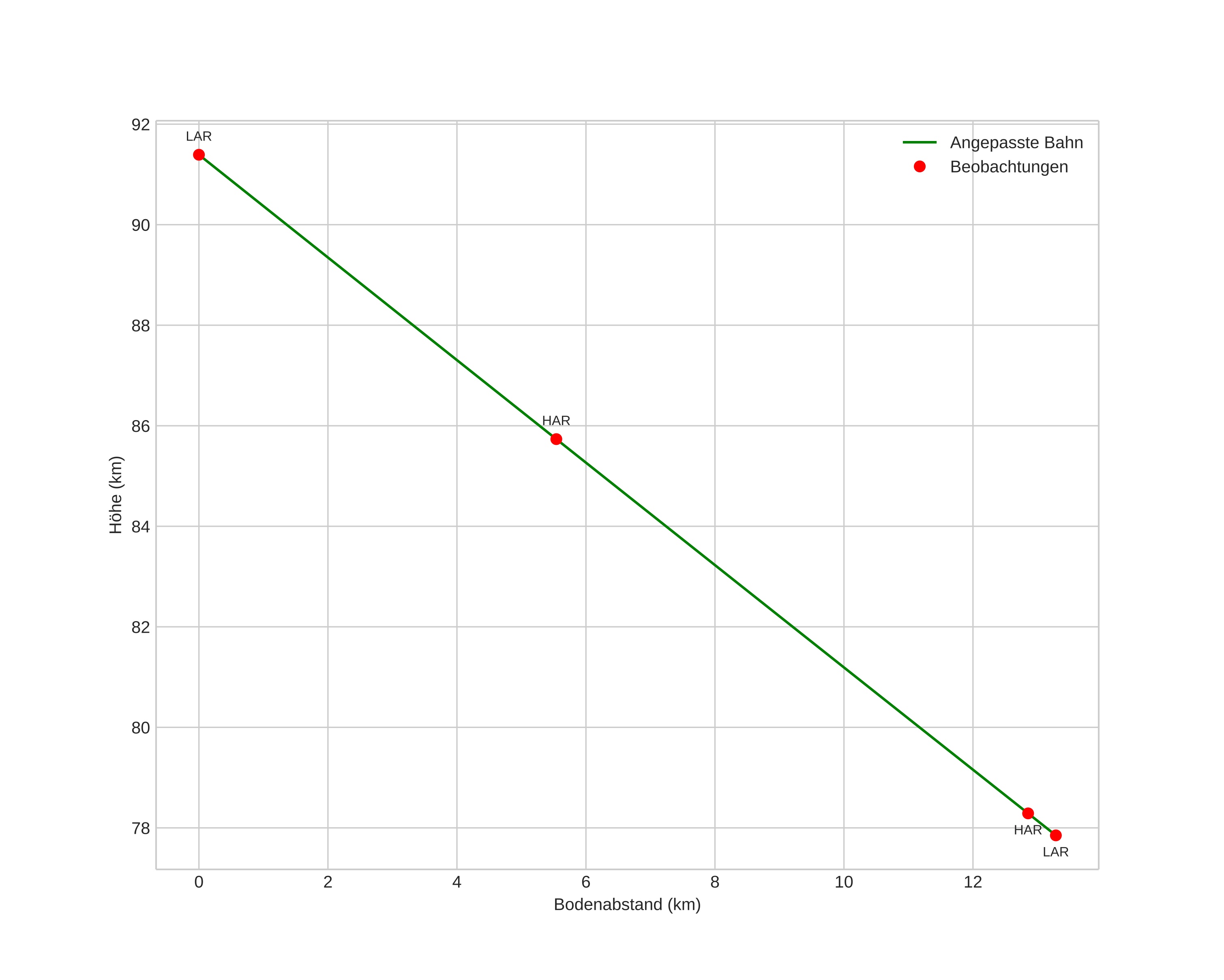
height profile
Atmosphärische Bahn des Meteors:
Anfangshöhe: 91,4 km
Endhöhe: 77,9 km
Startposition: 59,159N 10,675E
Endposition: 59,207N 10,461E
Richtung: 293,8°
Neigungswinkel: 45,5°
Eintrittsgeschwindigkeit: 27,3 km/s
Rektaszension des Radianten: 06:55 (103,9°)
Deklination des Radianten: 26,2°
Meteorstrom: sporadisch
Bahnelemente des Meteoroiden:
Periheldistanz: 0,480 AU
Exzentrizität: 0,775
Inklination: 2,9°
Länge des aufsteigenden Knotens: 276,9°
Argument des Perihels: 279,9°
Mittlere Anomalie: 346,0°
Epoche: 2025 DEC 28 20:35:09
orbit plot

Nicht-interaktives Diagramm | Interaktives Diagramm

position vs time
speed and acceleration

Harestua (HAR) cam3


gnomonic
Videos
• Gnomonisch
• Gnomonisch mit Koordinaten
• Original
• Original mit Koordinaten
Bilder
• Gnomonisch
• Gnomonisch mit Koordinaten
• Original
• Original mit Koordinaten
Textdateien
• Erkennung
• Beobachtung
• Koordinaten
• Protokoll
Helligkeit

Larvik (LAR) cam6


gnomonic
Videos
• Gnomonisch
• Gnomonisch mit Koordinaten
• Original
• Original mit Koordinaten
Bilder
• Gnomonisch
• Gnomonisch mit Koordinaten
• Original
• Original mit Koordinaten
Textdateien
• Erkennung
• Beobachtung
• Koordinaten
• Protokoll
Helligkeit